反应机理


酸催化反应机理催化剂:质子给予体,促进顺序:酸>酚>水>醇
固化剂分类
1反应型固化剂
-
可与EP分子进行加成,通过逐步聚合反应交联成体型网状结构
-
一般含有活泼氢,反应中伴随氢原子转移,如多元伯胺、多元羧酸、多元硫醇和多元酚
2催化型固化剂
-
环氧基按阳离子或阴离子聚合机理进行固化,如叔胺、咪唑、三氟化硼络合物
常见固化剂
-
脂肪胺固化剂
-
芳香族多元胺
-
改性多元胺
-
多元硫醇
-
酸酐类固化剂
1脂肪胺固化剂

脂肪胺固化特点:
-
活性高,可室温固化
-
反应剧烈放热,适用期短
-
一般需后固化,室温7d再80-100℃2h
-
固化物热形变温度低,一般80-90℃
-
-
挥发性及毒性大
2芳香族多元胺

芳香族多胺特点:
-
固化物耐热性好,耐化学性机械强度均优于脂肪族多元胺
-
活性低,大多加热固化
-
氮原子因苯环导致电子云密度降低,碱性减弱,以及苯环位阻效应
-
多为固体,熔点高,工艺性差
-
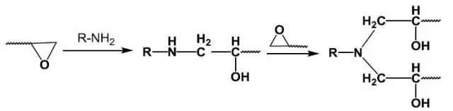
液化,低共熔点混合,多元胺与单缩水甘油醚加成
3改性多元胺
a、环氧化合物加成:

-
加成物分子量变大,沸点粘度增加,挥发性与毒性减弱,改善原有脆性
b、迈克尔加成:
-
丙烯腈与多元胺
-
胺的活泼氢对α,β不饱和键能迅速加成

c、曼尼斯加成:
曼尼斯反应(Mannich reaction)为多元胺和甲醛、苯酚缩合三分子缩合。

-
产物能在低温、潮湿、水下施工固化EP
-
典型产品T-31:二乙烯三胺+甲醛+苯酚
-
适应土木工程用于混凝土、钢材、瓷砖等材料
-
粘结的快速修复和加固
d、硫脲-多元胺缩合:

-
硫脲与脂肪族多元胺加热至100℃缩合放出氨气
-
能在极低温下(0℃以下)固化EP
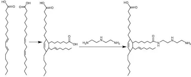
e、聚酰胺化:

-
9,11-亚油酸与9,12-亚油酸二聚反应
-
然后2分子与DETA(二乙烯三胺)进行酰胺化反应挥发性毒性很小
-
与EP相容性良好,化学计量要求不严
-
固化物有很好的增韧效果
-
放热效应低,适用期长,固化物耐热性较低,HDT为60℃左右
4多元硫醇

-
类似于羟基
-
聚硫醇化合物(液体聚硫橡胶)就是典型多元硫醇,单独使用活性很低,室温反应及其缓慢几乎不能进行
-
适当催化剂作用下固化反应以数倍多元胺速度进行
-
在低温固化更为明显
5酸酐类固化剂
-
反应速率很慢,不能生成高交联产物,一般不作为固化剂
-
低挥发性,毒性低,刺激性低
-
反应缓慢,放热量小,适用期长
-
固化物收缩率低,耐热性高
-
固化物机械强度高,电性能优良
-
需加热固化,时间长
-
EP常用固化剂,仅次于多元胺

主要酸酐:
-
顺酐>苯酐>四氢苯酐>甲基四氢苯酐
-
六氢苯酐>甲基六氢苯酐
-
甲基纳迪克酸酐
-
均苯四甲酸二酐
-
改性酸酐
-
酸酐分子中负电性取代基则活性增强
阴/阳离子型催化剂
-
催化剂仅仅起催化作用,本身不参与交联
-
用量主要以实验值为准

1常用阴离子催化剂
1、叔胺类
多用DMP-10(二甲氨基苯酚),DMP-30,酚羟基显著加速树脂固化速率,放热量大适用期短,EP快速固化(24h/25℃)
2、咪唑类
多用液态2-乙基-4-甲基咪唑(仲胺活泼氢和 叔胺),适用期长(8-10h),中温固化,热形变温度高,与芳香胺耐热水平(100℃)相当阳离子型固化剂,路易斯酸

链终止于离子对复合
2常用阳离子催化剂
-
路易斯酸:BF3,SnCl4,AlCl3等,为电子接受体
-
BF3使用最多,具有腐蚀性,反应活性非常高一般与胺类或醚类络合物,如三氟化硼-乙胺络合物, BF3:400,为87℃结晶物质,室温稳定,离解温度90℃,离解后活性增大
环氧树脂固化的三个阶段
-
液体-操作时间:树脂/固化剂混合物仍然是液体适合应用
-
凝胶-进入固化:混合物开始进入固化相(也称作熟化阶段), 这时它开始凝胶或“突变”成软凝胶物。此时只是局部固 化,新使用的环氧树脂仍然能与它化学链接,因此该未处 理的表面仍然可以进行粘接或反应
-
固体-最终固化:环氧混合物变成固体阶段,这时能砂磨及整型。在室温下维持若干天使它继续固化
固化温度
-
低温固化剂固化温度在室温以下:改性胺、聚硫醇型、多异氰酸酯型
-
室温固化剂固化温度为室温~50℃:脂肪族多胺、脂环族多胺;低分子聚酰胺以及改性芳胺
-
中温固化剂为50~100℃:部分脂环族多胺、叔胺、眯唑类以及三氟化硼络合物
-
高温固化剂固化温度在100℃以上:芳香族多胺、酸酐、甲阶酚醛树脂、氨基树脂、双氰胺以及酰肼等
-
对于加成聚合型固化剂,固化温度和耐热性按下列顺序提高:脂肪族多胺<脂环族多胺<芳香族多胺≈酚醛< 酸酐,而催化加聚型固化剂的耐热性大体处于芳香多胺水平
-
色相:(优)脂环族→脂肪族→酰胺→芳香胺(劣)
-
熟度:(低)脂环族→脂肪族→芳香族→酰胺(高)
-
适用期:(长)芳香族→酰胺→脂环族→脂肪族(短)
-
固化性:(快)脂肪族→脂环族→酰胺→芳香族(慢)
-
刺激性:(强)脂肪族→芳香族→脂环族→酰胺(弱)
-
光泽:(优)芳香族→脂环族→聚酰胺一脂肪胺(劣)
-
柔软性:(软)聚酰胺→脂肪族→脂环族→芳香族(刚)
-
粘接性:(优)聚酰胺→脂环族→脂肪族→芳香族(良)
-
耐酸性:(优)芳香族→脂环族→脂肪族→聚酰胺(劣)
-
耐水性:(优)聚酰胺→脂肪胺→脂环胺→芳香胺(良)