加载中...

点击这里给我发消息

QQ群:417857029

国内外新闻动态

端/侧氟烷基共改性聚氨酯杂化乳液的制备与性能

来源:CATIA2021年11月23日

阅读次数:

端/侧氟烷基共改性聚氨酯杂化乳液的制备与性能

赵婷  林云周  赵维甲  许伟

(1.传化智联股份有限公司
浙江杭州311215
2.陕西科技大学轻工科学与工程学院
陕西西安710021)

来源:皮革与化工 2021年6月 第38卷 第3期

摘要

分别以二乙醇胺(DEOA)和甲基丙烯酸十二氟庚酯(G04)及γ-氨丙基三乙氧基硅烷(KH-550)和丙烯酸羟乙酯(HEA)间的迈克尔加成反应合成含氟扩链剂(DEFA)和含硅扩链剂(DESiA);再以异佛尔酮二异氰酸酯(IPDI)、聚己二酸丁二醇酯(CMA1044)、1,4-丁二醇(BDO)、2,2-二羟甲基丙酸(DMPA)、DEFA和DESiA为原料合成侧氟烷基改性聚氨酯预聚体(SiFPU);然后利用全氟己基乙醇(S104)单侧封端SiFPU制得端/侧氟烷基改性聚氨酯中间体(SiFPUF);最后利用季戊四醇(PE)交联,随后在中和乳化过程中加入不同用量的硅溶胶(SiO2)制得系列端/侧氟烷基共改性聚氨酯杂化乳液(FPUF-SiO2)。通过红外光谱(IR)、纳米粒度仪、热重分析仪(TGA)以及静态接触角测量仪等对其结构和性能进行研究。结果表明:所得产物具有预期的结构。FPUF-SiO2乳液的粒径及FPUF-SiO2胶膜的热稳定性随硅溶胶的引入量增大而增加;随硅溶胶的用量增加,FPUF-SiO2胶膜的疏水性先增加而后略减小,FPUF-SiO2-10胶膜的疏水性最好,静态接触角为119.8°,吸水率为2.49%;随硅溶胶用量的增加,FPUF-SiO2胶膜的抗张强度先增大后减小,而断裂伸长率则一直减小。

关键词

聚氨酯杂化乳液  疏水性
氟硅聚合物      力学性能

引言
 

水性聚氨酯具有绿色环保、机械性能好、易改性等优点,近年来被广泛用于皮革涂饰、织物涂层、胶黏、建筑保温材料等许多工业领域,但其耐水性差的缺点限制了更进一步的发展。因此,众多研究者纷纷致力于改善水性聚氨酯耐水性不佳的研究。

1 实验

1.1试剂与原材料
    γ-氨丙基三乙氧基硅烷,分析纯,湖北武大有机硅新材料股份有限公司;丙烯酸羟乙酯(HEA),分析纯,天津市福晨化学试剂厂;甲基丙烯酸十二氟庚酯(G04)、全氟己基乙醇(S104),工业品,哈尔滨雪佳氟硅化学有限公司;异佛尔酮二异氰酸酯(IPDI)、聚己二酸丁二醇酯(CMA-1044),AR,济宁佰一化工有限公司;二月桂酸二丁基锡(DBTDL),AR,上海青析化工科技有限公司;1,4-丁二醇(BDO)、2,2-二羟甲基丙酸(DMPA)、二乙醇胺(DEOA),AR,天津市科密欧化学试剂有限公司;无水乙醇、丙酮、季戊四醇(PE)、N-甲基-2-吡咯烷酮(NMP)和三乙胺(TEA),AR,天津市天力化学试剂有限公司;硅溶胶(30%),工业品,山东优索化工科技有限公司。
1.2仪器与设备
    VECTOR-22型傅里叶红外光谱仪,德国Bruker公司;Nano-ZS型纳米粒度仪,英国Malvern公司;TG16型台式高速离心机,上海卢湘仪离心机仪器有限公司;Q500型热重分析仪,美国TA公司;OCA20型视频光学接触角测量仪,德国Dataphysics公司;GT-7010-AE型万能拉力试验机,高铁检测仪器有限公司。
1.3端/侧氟烷基共改性聚氨酯杂化乳液(FPUFSiO2)的制备
    首先制备含氟和含硅扩链剂,其中含氟扩链剂的制备方法参见文献。γ-氨丙基三乙氧基硅烷(KH550)与丙烯酸羟乙酯(HEA)的物质的量比为1∶2.1,阻聚剂4-甲氧基苯酚的质量分数为5‰。在冰水浴内装有搅拌器、冷凝装置和滴液漏斗的三口烧瓶中,注入KH550和4-甲氧基酚的混合液,再缓慢滴入HEA,反应0.5h。然后将体系升温至40℃,继续反应6h后得到DESiA粗产物。经去离子水多次萃取,除去未反应的单体后于50℃和-0.1MPa条件下旋蒸除去水与溶剂,制得小分子含硅扩链剂(DESiA),其制备反应过程如图1所示。

 

端/侧氟烷基共改性聚氨酯杂化乳液的制备与性能

端/侧氟烷基共改性聚氨酯杂化乳液的制备与性能

 

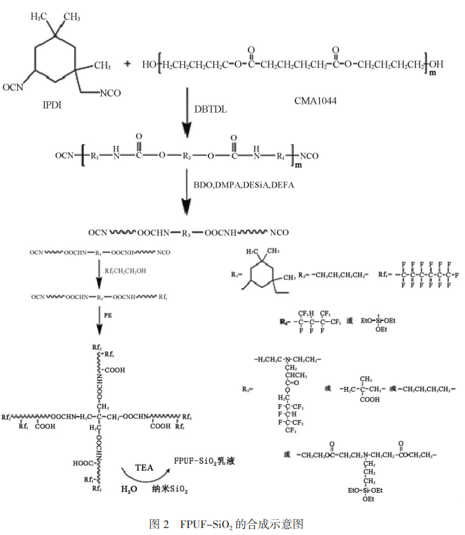
    将一定量的IPDI和CMA-1044加入装有温度计、搅拌器和冷凝回流装置的三口烧瓶中,升温至80℃后加入3滴DBTDL搅拌反应1h。然后加入计量的DMPA、BDO、DEFA和DESiA扩链,同时添加适量丙酮以控制黏度,反应2.5h。再将S104与适量丙酮混合后缓慢滴入反应体系,反应3h。取一定量的PE溶于适量的NMP,缓慢滴加至反应体系,反应1h。最后将反应体系降温至40℃,加TEA中和反应0.5h,在高速搅拌下0.5h内滴加去离子水与水性硅溶胶混合液进行乳化,将制备的乳液减压蒸馏除去有机溶剂,控制水性硅溶胶的用量可制得端/侧氟烷基共改性聚氨酯杂化乳液(FPUF-SiO2-x,x=0,5,10,15或20,表示引入的水性硅溶胶的用量分别为0,5%,10%,15%和20%)。其反应过程方程式如图2所示。

1.4FPUF-SiO2胶膜的制备
    分别取20gFPUF-SiO2乳液倒入聚四氟乙烯模具中,室温干燥72h,然后放入烘箱中65℃下干燥24h。待胶膜冷却成型后,从模具上将胶膜轻轻揭下,分别用丙酮、无水乙醇和去离子水充分洗涤除杂,再经真空干燥后备用。
1.5结构表征与性能测试
    红外光谱:用德国布鲁克公司的VECTOR-22型傅里叶红外光谱仪对HEA、DESiA及FPUF-SiO2的结构进行分析,KBr涂膜法制样。
    乳液离心稳定性的测试:常温下测试FPUFSiO2乳液稳定性。将乳液装入离心管高速离心,观察乳液外观,若未发现沉降则可认为聚氨酯乳液具有6个月以上的稳定期。参数设定:转速为3000r/min,时间为15min。

    粒径分析:取适量FPUF-SiO2乳液,用去离子水稀释100倍,超声分散15min后,用纳米激光粒度仪对乳液粒径进行测定。
    热重分析(TGA):FPUF-SiO2乳胶膜在升温范围0℃~600℃、升温速率10℃/min的条件下测试。
    静态接触角的测量:采用固着滴法,用视频光学接触角测量仪对FPUF-SiO2胶膜进行水接触角测试,每个样品测量5次,结果取平均值,所用介质为蒸馏水。
  吸水率:将FPUF-SiO2胶膜裁成1cm×1cm,称初始质量(W1),室温下蒸馏水中浸泡48h后再次称重(W2)。吸水率Q(%)=(W2-W1)/W1。
    力学性能测试:用万能试验机对FPUF-SiO2胶膜进行力学性能测定,实验控制负荷1000N,入口速度20mm/min,拉伸速度5mm/min。通过测定胶膜的拉伸强度,可以了解胶膜在外力作用下的变形情况以及该胶膜样所能承受的最大作用力。

2   结果与讨论

2.1FT-IR分析
    HEA和DESiA的红外图谱如图3所示。其中,HEA在3040cm-1处的吸收峰归属于=CH的伸缩振动,2944cm-1和990cm-1处的吸收峰归属于=CH2的不对称伸缩振动与弯曲振动,2875cm-1处的吸收峰归属于—CH2的对称伸缩振动,1731cm-1处为C=O伸缩振动,1641cm-1处为C=C的伸缩振动,1302cm-1处为O—CH2中CH2的弯曲振动,1276cm-1与1195cm-1处为C—O—C的伸缩振动峰,在3500cm-1处的宽峰和1400cm-1处的尖峰分别归属于—OH的伸缩振动与弯曲振动。而在DESiA中,在800cm-1处新出现的吸收峰归属于Si—C的弯曲振动,在1248cm-1处新出现的吸收峰归属于Si—CH2中C—H的弯曲振动峰,以及1641cm-1处C=C的伸缩振动的消失,表明DESiA具有预期结构。

端/侧氟烷基共改性聚氨酯杂化乳液的制备与性能

 

 

    FPUF-SiO2红外图谱如图4所示。图中3360cm-1处和1540cm-1处分别为N—H的伸缩振动峰和弯曲振动峰,1731cm-1处为C=O的伸缩振动峰,在1302cm-1处的出峰为C—N的弯曲振动,证实了酰胺键的存在。而在1150cm-1处出峰为C—O—C的不对称伸缩振动峰。因引入了氟烷基和硅烷氧基改性WPU,可知783cm-1处的出峰归属于Si—C键弯曲振动,732cm-1及700cm-1处的吸收峰归属于C—F键的弯曲振动,表明DEFA、DESiA与PU成功反应。综上所述,DESiA、FPUF-SiO2均具有预期的结构。

端/侧氟烷基共改性聚氨酯杂化乳液的制备与性能

2.2FPUF-SiO2乳液的物化性能及粒径分析
    FPUF-SiO2乳液的物化性能如表1所示。由表1可知:5个FPUF-SiO2乳液的稳定性随硅溶胶含量增大而下降,乳液外观由淡蓝色半透明泛蓝光逐渐变为淡黄色不透明混浊的凝胶。这是因为聚氨酯主链两侧的反应性烷氧基数量一定,只有少部分硅溶胶可与之发生缩合反应,其余纳米SiO2粒子在水体系中发生自缩合反应,并发生团聚,打破乳液平衡,最终使乳液分层甚至产生凝胶。

端/侧氟烷基共改性聚氨酯杂化乳液的制备与性能

 

    其粒径大小及分布如图5所示。由图中可以看出:FPUF-SiO(02%~20%)的粒径大小分别为60.25、76.35、90.11、110.65和159.08nm,对应PDI值分别为0.124、0.141、0.185、0.229和0.296。随着硅溶胶含量由0增至20%,乳液粒径和PDI值逐渐增大,粒径分布逐渐变宽,这是因为过量的纳米硅溶胶主要以物理共混的形式存在于聚氨酯体系中,并且由于Si—OH在水中发生自缩合反应和纳米SiO2的团聚沉积造成乳化困难,使乳液稳定性下降。

端/侧氟烷基共改性聚氨酯杂化乳液的制备与性能

2.3FPUF-SiO2胶膜的热性能
    分别对5个FPUF-SiO2胶膜进行TGA测试,其测试结果如图6所示。5个FPUF-SiO2胶膜的初始分解温度均在190℃左右,初始20%左右的质量损失可能为小分子产物及杂质的分解。FPUF-SiO2-0、FPUF-SiO2-5、FPUF-SiO2-10、FPUF-SiO2-15、FPUF-SiO2-20胶膜分解50%时对应的温度分别为332℃、340℃、346℃、354℃、361℃,在600℃的残留量分别为1.52%、6.31%、11.74%、15.90%、19.89%。这可能是因为水性硅溶胶用量增大时,部分纳米SiO2分子与聚氨酯主链两侧的硅烷氧基结合,聚氨酯分子交联密度增大,使聚氨酯结构更加稳定;未参与聚氨酯交联反应的纳米SiO2分子则在水体系中发生自缩聚反应,生成稳定的Si—O—Si,再次提高了体系交联程度,胶膜耐热性增强。而加热终点的残留物质主要是SiO2,并随着水性硅溶胶用量的增多而增多。

端/侧氟烷基共改性聚氨酯杂化乳液的制备与性能

2.4FPUF-SiO2胶膜的疏水性能
    分别对5个FPUF-SiO2胶膜进行疏水性能的测试,胶膜静态接触角及吸水率的大小如图7及表2所示。

端/侧氟烷基共改性聚氨酯杂化乳液的制备与性能

端/侧氟烷基共改性聚氨酯杂化乳液的制备与性能

    由图7和表2的结果可知,FPUF-SiO2-0、FPUF-SiO2-5、FPUF-SiO2-10、FPUF-SiO2-15、FPUF-SiO2-20胶膜所对应的接触角大小分别为102.4°、116.7°、119.8°、119.2°、119.6°,对应的吸水率分别为4.32%、2.61%、2.49%、2.50%、2.55%。研究表明:水性硅溶胶的引入改善了FPUF-SiO2胶膜的疏水性,当硅溶胶用量由0%增至5%时,胶膜水接触角提升了14.3°,吸水率降低了1.71%,一方面源于硅溶胶表面的硅醇基与聚氨酯软段上的硅烷氧基发生缩合反应,形成交联网状结构,增加了体系的交联程度,提高了胶膜的致密性,从而改善了疏水性。另一方面,由于引入了纳米硅溶胶,增加了胶膜的微观粗糙度,而根据Wenzl[12]方程cosθrw=rcosθc,其中为θrw为粗糙表面上的实际CA,r为液体与固体表面接触面积和粗糙表面的突出面积的比值,一般r>1,也即对于疏水表面,越粗糙其静态接触角越大。

    但当胶膜表面的疏水基团已趋于饱和时,再增加硅溶胶的用量反倒会使纳米SiO2团聚现象加重,成膜稳定性下降,疏水性稍有降低。

2.5FPUF-SiO2胶膜的力学性能

    通过拉伸测试对5个FPUF-SiO2胶膜的力学性能进行研究,其结果如图8所示。由图可知:随着水性硅溶胶的引入量增大,FPUF-SiO2胶膜的拉伸强度先增大后减小,断裂伸长率逐渐减小。当水性硅溶胶引入量由0%增加到10%时,胶膜拉伸强度由12.41MPa增加至17.85MPa,由于更多的Si—OH与聚氨酯软段中的硅烷氧基形成化学交联,使聚氨酯分子间作用力增大,拉伸强度逐渐增大。当水性硅溶胶含量大于10%时,大部分化学交联点已被占据,纳米SiO2之间发生团聚严重,与聚氨酯间的相容性下降,乳液稳定性下降,成膜性能降低,拉伸强度降低。此外,由于纳米SiO2为刚性粒子,胶膜的断裂伸长率随SiO2含量的增大而持续减小。

 
3 结 论

(1)FTIR证实DESiA及FPUF-SiO2具有预期的结构,FPUF-SiO2乳液的稳定性随硅溶胶的引入量增大而下降,粒径随硅溶胶的引入量增大而增加。FPUF-SiO2胶膜的热稳定性随硅溶胶的引入量的增大而增加。
(2)随硅溶胶的用量增加,FPUF-SiO2胶膜的疏水性先增加而后略减小,FPUF-SiO2-10胶膜的疏水性最好,静态接触角为119.8°,吸水率为2.49%。
(3)FPUF-SiO2胶膜的抗张强度随硅溶胶的用量增加先增大后减小,断裂伸长率则随硅溶胶的用量增加而减小。

  • 标签:
相关阅读

本站所有信息与内容,版权归原作者所有。网站中部分新闻、文章来源于网络或会员供稿,如读者对作品版权有疑议,请及时与我们联系,电话:025-85303363 QQ:2402955403。文章仅代表作者本人的观点,与本网站立场无关。转载本站的内容,请务必注明"来源:林中祥胶粘剂技术信息网(www.adhesive-lin.com)".

网友评论

©2015 南京爱德福信息科技有限公司   苏ICP备10201337 | 技术支持:建站100

客服

客服
电话

1

手机:18114925746

客服
邮箱

565052751@qq.com

若您需要帮助,您也可以留下联系方式

发送邮箱

扫二
维码

微信二维码