加载中...

点击这里给我发消息

QQ群:417857029

常识

空心微珠在电子灌封胶的应用

来源:CATIA2022年05月17日

阅读次数:

目前常见的电子灌封胶有机硅灌封胶、环氧灌封胶、聚氨酯灌封胶三类。

电子灌封胶用于电子元器件的粘接,密封,灌封和涂覆保护。其未固化前具有极佳的流动性,固化后可以起到防水防潮、防尘、绝缘、导热、保密、防腐蚀、耐温、防震等作用。 电子灌封胶种类非常多,从材质类型来分,目前常见的主要为3种,即有机硅灌封胶、环氧灌封胶、聚氨酯灌封胶,而这三种材质灌封胶又可细分几百种不同的产品。

有机灌封胶

有机硅灌封胶是采用硅橡胶作为主体材料的电子灌封胶,包括单组分有机硅灌封胶和双组分有机硅灌封胶。 主要应用范围:适合灌封各种在恶劣环境下工作以及高端精密/敏感电子器件。如LED、显示屏、光伏材料、二极管、半导体器件、汽车安定器HIV、车载电脑ECU等,主要起绝缘、防潮、防尘、减震作用。

环氧灌封胶

环氧灌封胶一般由双酚A环氧树脂,固化剂(胺类或酸酐),补强助剂和填料等组成。一般用于LED、变压器、调节器、工业电子、继电器、控制器、电源模块等非精密电子器件的灌封。

聚氨酯灌封胶

聚氨酯灌封胶,又称PU灌封胶,主要成分是二异氰酸酯和聚醚多元醇在催化剂存在的情况下交联固化,硬度可调节。主要应用范围:一般应用于发热量不高的电子元器件的灌封。变压器、抗流圈、转换器、电容器、线圈、电感器、变阻器、线形发动机、固定转子、电路板、LED、泵等。

空心微珠在电子灌封胶的应用

HGS(空心玻璃微珠)广泛应用于电子灌封胶中,在电子灌封胶中起到积极作用:

1、轻量化。HGS是空心球体,真密度为(0.12~0.70g/cm3),作为一种轻质填料,加入电子灌封胶中,可以大幅度地降低其密度。

2、降低导热。HGS内部是稀薄的气体,导热系数在0.038~0.060(W/m.K)之间,加入电子灌封胶中,可以有效地降低其导热系数,提高其隔热、隔音的作用。

3、低介电。HGS内部为稀薄的气体,介电常数为1.2~1.8,加入电子灌封胶中,有效降低电子灌封胶的介电常数,有利于提高智能终端的信号传输速度、降低信号延迟、减少信号损失。

4、耐温性。HGS是高温(>1500℃)成型的硼硅酸盐玻璃,具有较高的化学性质稳定,作为填料不会与基材或其他物质发生反应。可以提升电子灌封胶的耐候性,提高防腐效果。

5、高流动性。HGS球体结构类似滚珠轴承,在电子灌封胶中起到润滑的作用,防止形状不规则的其他填料相互摩擦影响流动性,从而降低了电子灌封胶黏度,增加了流动性。

空心微珠在电子灌封胶中应用时的注意事项

空心微珠应用于电子灌封胶中,如果使用不当会出现一系列的问题,针对此类问题,具体解决方案如下:

有机灌封胶

这里主要讨论的是加成型有机硅灌封胶。加成型有机硅灌封胶的固化原理:一般以端乙烯基硅油或高乙烯基硅油为基础聚合物,含氢硅油为交联剂,在铂金催化剂的作用下,在室温或加热条件下进行反应,在反应过程中没有小分子产生。

空心微珠应用于加成型有机硅灌封胶需要注意以下两点:

1) 加成型有机硅灌封胶不固化

加成型有机硅灌封胶不固化,是由于铂金催化剂与某种化合物之间发生相互作用,使铂金催化剂丧失氢化能力,从而导致不固化,这就是我们一般说的“铂中毒”。使“铂中毒”的物质包括,含N、P、S等有机化合物,Sn、Pb、Hg、Bi、As等重金属离子化合物,含有乙烯基等多重聚合物的有机化合物等。

空心微珠是经过高温煅烧后成型的空心硼硅酸盐玻璃,表面PH值9-10,表面会吸附一些金属元素和金属氧化物。不经过处理的空心微珠应用于加成型有机硅灌封胶,其表面吸附的金属元素和金属氧化物会引起“铂中毒”。所以,如果加成型有机硅灌封胶添加空心微珠后出现不固化的情况,则应该考虑空心微珠是否进行过酸洗除铁。空心微珠需要进行酸洗除铁表面改性后才能应用于加成型有机硅灌封胶。

2) 加成型有机硅灌封胶阻燃性能变差

空心微珠为无机金属氧化物,熔点大于1450度,高温下不分解,不易变形,作为聚合物填充材料,可提高聚合物的阻燃特性。

加成型有机硅灌封胶中加入空心微珠会出现阻燃性能变差的假象。这是因为,胶黏剂厂家在进行配方设计时,习惯采用质量分数来计量空心微珠。空心微珠的真密度(0.12~0.70g/cm3)极低,若是采用同质量分数的空心微珠替代碳酸钙等填料,空心微珠在加成型有机硅灌封胶中所占的体积分数将会很大,造成加成型有机硅灌封胶中阻燃剂的体积分数占比很低,所以,在加成型有机硅灌封胶中,需要注意空心微珠所占的体积比,不能超过原配方体系中填料的体积比。

聚氨酯灌封胶

聚氨酯灌封胶的固化原理:A组分为聚酯、聚醚和聚双烯烃等低聚物的多元醇,B组分为二异氰酸酯,以二元醇或二元胺为扩链剂,经过逐步聚合而成。

空心微珠在电子灌封胶的应用

空心微珠应用于聚氨酯灌封胶需要注意以下两点:

1) 聚氨酯灌封胶B组分粘度变大

异氰酸酯容易与包含有活泼氢原子的化合物∶胺、水、 醇、酸、碱发生反应。空心微珠表面PH值9-10,表面的碱性物质与异氰酸酯发生反应,造成聚氨酯灌封胶B组分粘度变大。所以,如果出现此类情况,须考虑所添加微珠是否进行了酸洗改性。空心微珠需要进行酸洗表面改性后才能应用于聚氨酯灌封胶B组分。

2) 聚氨酯灌封胶固化后表面起泡

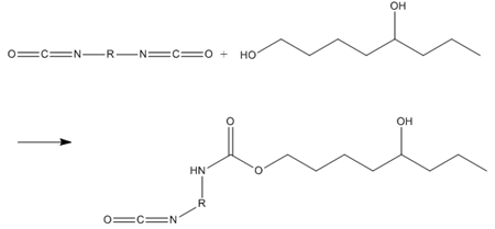
异氰酸酯与羟基反应:RNCO + R′OH RNHCOOR′,这个反应是加成反应,没有小分子物质释放,不会造成聚氨酯灌封胶固化后表面起泡。

异氰酸酯与水的反应:2RNCO + H2O RNHCONHR + CO2,这个反应是缩合反应,固化过程中有二氧化碳气体释放,释放的二氧化碳气体造成聚氨酯灌封胶固化后表面起泡。如果聚氨酯灌封胶添加过空心微珠固化后出现表面起泡的情况,则应考虑空心微珠或其他原料的水分含量问题,水分含量在5ppm以下方可避免该问题的出现。

HOLLOWLITE

(来源:郑州圣莱特)

  • 标签:
相关阅读

本站所有信息与内容,版权归原作者所有。网站中部分新闻、文章来源于网络或会员供稿,如读者对作品版权有疑议,请及时与我们联系,电话:025-85303363 QQ:2402955403。文章仅代表作者本人的观点,与本网站立场无关。转载本站的内容,请务必注明"来源:林中祥胶粘剂技术信息网(www.adhesive-lin.com)".

网友评论

©2015 南京爱德福信息科技有限公司   苏ICP备10201337 | 技术支持:建站100

客服

客服
电话

1

手机:18114925746

客服
邮箱

565052751@qq.com

若您需要帮助,您也可以留下联系方式

发送邮箱

扫二
维码

微信二维码