加载中...

点击这里给我发消息

QQ群:417857029

期刊专利论文

封闭型无溶剂聚氨酯的研究进展

来源:互联网2020年02月25日

阅读次数:

封闭型无溶剂聚氨酯的研究进展

作者:刘 帅,马兴元

(陕西科技大学轻工科学与工程学院,西安710021)

来源:材料导报 2019年第23期

摘要

 

传统溶剂型聚氨酯(PU)的使用容易造成环境污染,阻碍了PU在功能性膜、涂饰剂、发泡材料等领域的广泛应用。封闭型无溶剂聚氨酯 (SFPU)具有绿色环保、低能耗、高稳定性、操作简单等优势,成为近年来PU领域的研究热点,尤其是活性可控的SFPU能够实现高效封闭与解封闭,促进了PU材料的进一步发展。
然而,由于封闭剂种类及结构的差异,形成的封闭型SFPU预聚体的解封闭温度波动大、易黄变,此外,解封时小分子封闭剂的逸出破坏了产物结构的规整性,降低了其力学性能。因此,近年来除研究单体对封闭型SFPU理化性能的影响外,研究者们主要在封闭剂的选择方面不断进行尝试,并取得了相关成果,在提高封闭型SFPU材料稳定性的同时有效降低了其解封闭温度。目前,封闭型SFPU在120℃下可实现完全解封闭。
现有的常用封闭剂主要为醇类、酚类、肟类、胺和酰胺类、活泼亚甲基类、吡唑和三唑类、亚硫酸氢盐类等。在这些封闭剂中,醇类结构的封闭剂使用最早,封闭的预聚体具有较低的活性和较高的解封闭温度,赋予材料极好的稳定性;尽管肟类封闭剂在较低的解封闭温度下能够释放活性异氰酸酯基,有助于重新裸露出的异氰酸酯基与扩链剂进行扩链,但其耐黄变性较差;毒性较小的吡唑和三唑类封闭剂具有含氮五元环的结构,产物不易黄变。封闭型SFPU起初采用直接封闭异氰酸酯单体的方法制备,但该法的扩链效果较差、成膜性能差。近几年的研究工作采用封闭SFPU预聚体的方法,即先合成SFPU预聚体,再进一步对预聚体进行封闭,确保了封闭型SFPU的高分子量和良好的成膜性。
本文对封闭型PU的研究进展进行了综述,包括封闭型溶剂PU、封闭型水性聚氨酯(WPU)和封闭型SFPU这三类工艺,并讨论了封闭型PU的类型与合成、常用封闭剂、封闭 ̄解封闭反应机理、解封闭温度的影响因素、解封闭温度的测定方法。最后总结了目前封闭型SFPU的优点和不足之处,指出解决其解封闭时封闭剂逸出、解封闭温度较高和黏度较大三大难点是该项技术应用进程中的关键

 

关键词

 封闭型无溶剂聚氨酯;解封闭温度;封闭剂;影响因素  

 

 

引言
自1937年德国化学家拜耳首次发现异氰酸酯与活泼氢的反应以来,PU的研究先后经历了溶剂型PU、SFPU、封闭型SFPU等几个阶段。PU作为一种新型的高分子材料,已被广泛应用于家电、建筑、制革、交通运输、体育和家居等众多行业,见图1。

封闭型无溶剂聚氨酯的研究进展

封闭型无溶剂聚氨酯的研究进展

图 1也展示了聚氨酯的发展历史。人类所接触的第一类PU为溶剂型PU,溶剂型PU的制备过程中需要使用大量的溶剂,导致其在生产和使用过程中有大量的挥发性有机化合物(VOC)排放,对人体和环境造成很大的伤害。为了改变这种现状,人们开始研究SFPU。SFPU是指在生产过程中不添加溶剂而制备的一种新型PU,其生产过程零排放,产品无毒、环保且具有优异的物理力学性能、耐化学介质性能、耐低温性能等,但由于其生产精度要求高,控制系统复杂,原料储存不稳定,目前仍存在一定的局限性。而封闭型SFPU是指将异氰酸酯基团进行封闭,使其失去活性,需要时在一定条 件下解封闭重新生成异氰酸酯基团的新型PU。封闭型SFPU在常温下具有良好的稳定性,其最大的优势在于容易操作且对大气湿度不敏感,是SFPU的发展方向之一。本文从封闭型PU的类型与合成、封闭剂的选择、封闭-解封闭机理、解封闭温度的影响因素、解封闭温度的测定方法以及展望等方面介绍近年来聚氨酯在异氰酸酯基团的可控性及环保方面的重要发展成果。

 

 

1 封闭型聚氨酯的类型与合成
1.1 封闭型溶剂聚氨酯

封闭型溶剂 PU是指以有机溶剂作为介质的PU体系。德国化学家拜耳于1937年首次通过异氰酸酯与含活泼氢化合物的反应制备了PU(-NCO+H-R →-NHCOR-),从而开始了PU树脂的研究和应用。日本于1955年从德国Bayer公司与美国的DuPont公司引进技术,开始PU树脂的生产。我国PU工业起始于20世纪50年代,经过不断研究和从日本、意大利等国引进新型PU技术和装置,PU 工业得到了迅 速发展。

由于游离的异氰酸酯基团容易与空气中的水反应,从而影响PU原料的储存和使用,1945年Petersen发表的第一篇关于封闭异氰酸酯的研究论文使得封闭型异氰酸酯开始进入科研及企业研发人员的视野。随着封闭型异氰酸酯的不断发展,异氰酸酯的储存稳定性提高,PU 的应用范围也不断拓展。但是,由于其是以有机溶剂作为介质,在制备、使用 过程中容易释放出对环境和人体有害的物质,不符合21世 纪国家和人民对环境保护的要求,使得封闭型溶剂 PU 的应用受限。


1.2 封闭型水性聚氨酯 

WPU是以水全取代或部分取代有机溶剂作为介质的PU体系。WPU不仅具有封闭型溶剂PU所具有的耐磨损、 高强度等优异性能,也具有安全、环保(低 VOC 含量)、节能等优点,可被广泛应用于涂料、纺织、胶粘剂、造纸、医药等领域。封闭型WPU是指通过保护端基的方法,即在一定的条件下利用含活泼氢的封闭剂对PU预聚体中的异氰酸酯基团进行封闭保护,使异氰酸酯基团失去反应活性,成为封闭型多异氰酸酯或PU预聚体,然后在水中分散制得的封闭型WPU乳液。

1934年,SchJack在乳化剂和保护胶的作用下,将二异氰酸酯在剧烈搅拌下于水中乳化并添加二胺,首次成功制备了WPU。1953年,Dupont公司研究人员将端异氰酸酯基PU预聚体的甲苯溶液分散于水中,用二元胺扩链合成了PU乳液,但其价格昂贵且贮存稳定性差。1967年美国首次进行了WPU的工业化生产,但由于其产品稳定性较差并没有得到广泛应用。20世纪70年代后期到80年代前期,欧美 以及日本等国的WPU生产加工流程已经基本成熟,此时已有多种品牌的产品陆续问世。随着人们研究的深入,封闭型WPU也逐渐得到重视。1989年,Kordomenos等通过热失重分析研究了MEKO封闭的异氟尔酮二异氰酸酯(IPDI)、 甲苯二异氰酸酯(TDI)的解封闭温度。据统计,到2000年发表的关于这方面的论文和专利已达1700篇。

 

1.3 封闭型无溶剂聚氨酯
国外早在20世纪70年代就开始研究双组分SFPU胶黏剂,1974年德国首先将SFPU胶黏剂用于复合包装材料;1977年日本引进干法复合薄膜技术,到1977年已经建成60多条生产线,SFPU胶黏剂自问世发展至今,已有4代产品。20世纪90年代,美国率先意识到环保的重要性,开始以SFPU胶代替溶剂PU 胶。国内SFPU胶黏剂的开发和应用较晚,20世纪50年代末,我国的异氰酸酯工业开始发展;1966年上海的新光华工厂投产无溶剂双组分PU胶黏剂;20世纪80年代我国开始进入PU快速发展阶段。我国对封闭型SFPU的研究始于无溶剂复合薄膜的生产。图2给出了封闭型SFPU的制备流程,可见封闭型SFPU是在预聚体的基础上加入封闭剂进行封闭,封闭完成后加入扩链剂,混合均匀后将体系均匀刮涂在含氟离型纸上,最后放入烘箱。体系在烘箱内继续进行反应,首先是封闭的SFPU预聚体在高温下解封闭,重新生成异氰酸酯基团,然后是异氰酸酯基团与体系中的扩链剂进行反应,固化成膜。在整个反应过程中,封闭剂的选择对封闭型SFPU的理化性质有重大影响,封闭-解封闭机理直接决定封闭型SFPU的制备工艺和产品性质,解封闭温度的影响因素和测定方法是衡量封闭型SFPU工艺的两个重要指标。

封闭型无溶剂聚氨酯的研究进展

封闭型无溶剂聚氨酯的研究进展

 

 

2 常用的封闭剂

理论上讲,凡是含有活泼氢的化合物都可用于异氰酸酯的封闭反应,通过优化具体的反应条件,最终都能用于制备封闭型异氰酸酯。但在实际应用过程中,需要从以下五个方面来选择合适的封闭剂:①封闭反应速率适中且能彻底反应;②解封闭反应速率较快;③解封闭温度较低;④封闭剂及封闭型异氰酸酯与基体树脂体系有良好的相容性;⑤封闭剂 环保、无毒,封闭型异氰酸酯的贮存稳定性好。目前研究较多的是以下几种封闭剂。

 

2.1 醇类封闭剂 

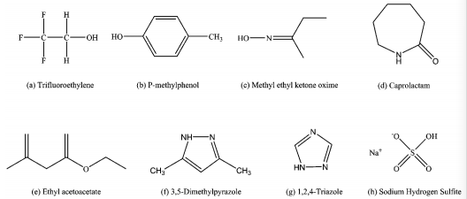
醇类封闭剂是最早使用的异氰酸酯封闭剂,具有较好的稳定性和较高的解封闭温度,三卤化物除外,如三氟乙醇(化学结构式见图3a)和三氯乙醇封闭的苯基异氰酸酯相比于正丁醇封闭的苯基异氰酸酯具有较低的解封闭温度和较高的解封闭速率。在醇类封闭剂中,伯醇、仲醇和叔醇与异氰酸酯的正反应(封闭反应)速率依次降低,逆反应(解封闭反应)速率依次增加。如Rand的研究表明,伯醇、仲醇、叔醇与异氰酸酯的封闭反应速率为100∶33∶1,解封闭温度则为伯醇>仲醇>叔醇。理论上讲叔醇的解封闭温度最低,但由于其解封时可能会得到二氧化碳、烯类和胺类化合物等副产物,因此叔醇封闭的异氰酸酯常被用于环氧树脂的固化剂中。

 

2.2 酚类封闭剂 

常用的酚类封闭剂有对甲苯酚(化学结构式见图3b)、2,6-二甲基苯酚等。酚类封闭剂相比于醇类封闭剂具有更低的解封闭温度,主要是由于其结构中含有吸电子基团(苯环),能够有效降低酚羟基的亲核性,从而加快解封闭速率,降低解封温度,如Lou等通过在苯酚的结构中引入吸电子基团(氯基)来降低其解封闭温度。苯环上取代基的空间效应也会对解封闭反应造成影响,其中诱导效应和空间效应对解封闭速率的影响强弱视情况而定。如邻甲苯酚封闭型异氰酸酯的解封闭温度要低于对甲苯酚封闭型异氰酸酯,而2,6-二甲基苯酚封闭型异氰酸酯的解封闭温度较高,这说明苯环上两个甲基的给电子效应对解封闭温度的影响大于其空间效应。吡啶酚类封闭剂封闭WPU的最佳理论解封闭温度为95.2℃,在喹啉酚类封闭剂中7-苯甲酰基-8-羟基封闭型IPDI的最高解封闭温度低于100℃。

封闭型无溶剂聚氨酯的研究进展

封闭型无溶剂聚氨酯的研究进展

 
2.3 肟类封闭剂 
相比醇类、酚类封闭剂,肟基与异氰酸酯基团具有更高的反应活性,使用肟类封闭剂封闭的异氰酸酯的解封闭温度要低于酚类、己内酰胺类和醇类封闭的异氰酸酯,其应用范围更加广泛。在肟类封闭剂中,醛肟封闭型异氰酸酯在解封闭时很容易产生烷烃、伯胺和二氧化碳等副产物,因此很少将其作为封闭剂使用。而酮肟是研究和使用较多的一种,其可通过酮羰基与羟基胺反应而制备,酮肟类封闭型异氰酸酯的解封闭温度主要取决于取代基的电子效应和空间位阻效应,吸电子取代基和大空间位阻取代基均能有效降低解封闭温度。如祁世宇以丁酮肟为封闭剂制备了在120℃就可以完全解封闭的封闭型多异氰酸酯树脂。杨鑫鹏和张银钟用MEKO封闭的TDI和二苯基甲烷二异氰酸酯预聚体可以分别在135℃ 和130℃ 下被完全解封闭。笔者用MEKO对IPDI体系进行封闭,测得其解封闭温度为143℃。综上所述,虽然肟类封闭型PU解封闭后的产物存在有毒性、价格较高、易黄变的缺点,但是由于其解封闭温度较低,能降低工厂生产成本,因此目前市场上绝大部分的封闭型PU都是采用酮肟类封闭剂,尤其是MEKO,其化学结构式见图3c。
 
2.4 胺和酰胺类 

在胺类化合物中,伯胺一般不用作封闭剂,原因有两点: ①伯胺与异氰酸酯的反应速率太快,难以控制,生成的封闭型异氰酸酯的热稳定性好,很难解封闭;②在伯胺封闭异氰酸酯的过程中,羰基两侧的脲键都可以发生开裂,从而形成 单官能团、小分子量的异氰酸酯。而叔胺和芳香胺则可被用作异氰酸酯的封闭剂。例如Sankar等用不同取代基的芳香胺对异氰酸酯进行封闭,解封闭温度为130℃左右。

酰胺类封闭剂相比于醇类、酚类和肟类封闭剂具有较高的解封闭温度,但是如果在解封闭反应中能形成六元环的中间体,其解封闭温度会大幅降低。如MEKO封闭型异氰酸酯的解封闭温度为130℃,而能形成六元环中间体的乙酰苯胺型封闭剂的解封闭温度为100℃。己内酰胺(化学结构式见图3d)是一种研究和应用都比较广泛的封闭剂,由于己内酰胺存在七元杂环,羰基极性较大,易与氨基中的氢形成氢键,形成类似六元环的结构,具有更大的位阻效应,从而具有较高的解封闭温度,故其主要被应用于某些特殊产品。笔者用己内酰胺对IPDI体系进行封闭,测得其解封闭温度为163℃。

 
2.5 活泼亚甲基化合物 

含有 β-二羰基的化合物(如丙二酸酯、乙酰乙酸乙酯以及 2,4-戊二酮等)被称为活泼性亚甲基化合物,可用作异氰酸酯的封闭剂。常用的活泼亚甲基类封闭剂有丙二酸酯、 乙酰乙酸乙酯(化学结构式见图3e)以及,-戊二酮等。活泼亚甲基与异氰酸酯的反应相对较弱,通常情况下需要使用催化剂,活泼亚甲基封闭型异氰酸酯的解封闭反应与溶剂、 封闭剂种类等有关。活泼亚甲基封闭型异氰酸酯的解封闭温度往往都比较低,但是用其封闭的异氰酸酯在解封闭时通常不会得到游离的异氰酸酯基团,它与羟基的反应类似于酯交换反应,得到的不是PU而是一般的酯,例如丙二酸乙酯封闭的异氰酸酯与羟基反应时会发生类似的酯交换反应,其与多元醇的交联温度为110℃。

 
2.6 吡唑和三唑类 

吡唑和三唑类化合物的解封闭温度比较低,这是因为其结构中含有氮元素,在解封闭反应中能与异氰酸酯基团形成五元环中间体。其中3,5-二甲基吡唑(化学结构式见图3f) 和1,2,4-三唑(图3g)被用于封闭异氰酸酯时,因含有含氮五元环,不但解封闭温度低,而且与肟类相比不易黄变、毒性小。苯并三氮唑用作MDI的封闭剂相比己内酰胺具有更高的解封闭温度,但可以与氨基树脂交联剂并用。

 

2.7 亚硫酸氢盐类 

亚硫酸氢盐封闭的异氰酸酯由于具有良好的水分散性 、较低的封闭温度和受热快速解封闭的优点,常被用于制备封闭型WPU。例如Zhou等用亚硫酸氢钠(NaHSO3)封闭TDI合成了一种用于丝织品的水溶性封闭异氰酸酯胶黏剂,具有无游离甲醛释放,强度、手感都比较好的优点。但是当NaHSO3的用量较大时,其解封闭后会残留在产品中且有副作用,故限制了产品的推广和使用,其化学结构式见图3h。

除上述封闭剂外,环二脲、甲基丙烯酸甲酯、嘧啶、2-甲基咪唑等也常被用作异氰酸酯的封闭剂。

 
3 封闭-解封闭反应机理

 

封闭异氰酸酯(包括半封闭)是指利用化学方法使异氰酸酯单体或预聚体中的异氰酸酯基团(-NCO) 被暂时封闭,在较高温度条件下其活性能重新释放出来的一类化合物。封闭型PU就是利用某些物质与异氰酸酯基团的可逆反应来合成的。异氰酸酯的封闭反应见图4a。
目前研究确定的封闭型异氰酸酯的解封闭-固化机理主要有消去-加成机理、亲核取代机理等。消去加成机理认为,封闭型异氰酸酯在高温下分解成游离的异氰酸酯和封闭剂,含活泼氢的聚合物树脂作为亲核试剂进攻游离异氰酸酯,发生交联反应而固化,其反应机理见图4b。亲核取代机理认为,含有活泼氢的聚合物作为亲核试剂直接与已封闭的异氰酸酯反应,生成四面体中间体,再发生消去反应,其反应机理见图4c。

封闭型无溶剂聚氨酯的研究进展

 
 
 
4 解封闭温度的影响因素
4.1 异氰酸酯的结构
封闭型异氰酸酯结构对解封闭温度的影响大致分为诱导效应和空间效应两种。诱导效应是指当异氰酸酯基团与吸电子基团相连时解封闭温度往往比较低,如通常情况下封闭型芳香族异氰酸酯的解封闭温度比封闭型脂肪族异氰酸酯低,当苯环上连接有吸电子取代基时解封闭速率会进一步提高,解封闭温度也会相应降低。空间效应是指封闭型PU的解封闭温度随着异氰酸酯取代基空间位阻的增大而降低。具体的解封闭温度是诱导效应和空间效应共同作用的结果。MEKO封闭型异氰酸酯单体的解封闭温度见表1,其中XDI、XDI、TMXDI 的化学结构式见图5。

封闭型无溶剂聚氨酯的研究进展

封闭型无溶剂聚氨酯的研究进展

 

4.2 封闭剂结构 

封闭剂对封闭型PU解封闭温度的影响主要是通过影响异氰酸酯与封闭剂结合能力的强弱来完成的。一般来说,在异氰酸酯基团中,氮原子的诱导效应以及羰基的极化作用使碳原子呈现正电性,封闭剂[H-B]中[B]的电负性越大,封闭反应形成的“ C-B” 键越牢固,其键能越大,解封闭温度越高。然而,这种影响对不同的封闭剂会有不同的差异,例如在苯酚中,给电子取代基会使解封闭温度提高,而吸电子取代基会使解封闭温度降低。肟类、醇类、酚类等封闭剂封闭的异氰酸酯产物,其解封闭反应多是消去-加成解封闭机理,因此封闭剂的pK值直接影响解封闭反应,一般来说,pK值越低,解封闭反应速率越快,所需的解封闭温度越低。
 
4.3 反应介质 

在封闭型SFPU中,反应介质是极其重要却又很难控制的因素。由于整个反应不添加任何溶剂,反应介质为预聚体本身,在反应过程中,分子量不断变大,浆料的黏度急速增加,黏度过大又会降低反应速率。因此,如何控制浆料黏度是封闭型SFPU的一大难点。

 

4.4 催化剂 

目前对催化剂在封闭反应中的应用研究比较多,对其在解封闭反应中的应用研究较少。目前在PU行业研究和应用最多的是叔胺类和有机金属类催化剂。

有机金属类催化剂对封闭型PU的解封闭具有一定的催 化作用。表2列出了九种有机金属类催化剂对丁酮肟封闭的HDI解封闭反应的催化效果。固化效果以丁酮擦拭数值来表示,数值越大,固化效果越好。

封闭型无溶剂聚氨酯的研究进展

叔胺类催化剂主要分为脂肪胺类、脂环胺类、芳香胺类 和醇胺类及其铵盐等化合物。在这些催化剂中,三乙烯二胺(DABCO) 因含有两个叔胺结构,比二月桂酸二丁基锡 (DBTDL)具有更好的催化效果,是封闭型SFPU的理想催化 剂。Gong等从PU的反应速率常数、热力学参数和三维红外光谱等方面进一步证实了这一结论(图 6、图 7)。

封闭型无溶剂聚氨酯的研究进展

封闭型无溶剂聚氨酯的研究进展

 
 
5 解封闭温度的测定方法
封闭型SFPU的解封闭温度测定方法有很多种,不同的测试方法测得的解封闭温度略有不同,使用同一种测试方法、不同的加热速率等常常可影响测试结果。
物理方法:傅里叶红外光谱测定法(文献将傅里叶红外光谱在2250cm-1附近的-NCO基团 NC =O 反对称伸缩吸收峰首次被检测到的温度称为解封闭温度)、热重分析法(TGA)、差示扫描量热法(DSC)等。但由于物理检测法需要相关仪器进行检测,会增大实验的复杂程度且耗时较长,因此在实验中一般采用化学法。
化学法:在实验室中,化学反应检测是一种更为简单高效的方法。例如利用异氰酸酯与水反应会生成这一特点,可将封端的异氰酸酯置于潮湿的分子筛上进行加热,开始产生时检测到的温度大致可以被认为是异氰酸酯的解封闭温度;利用异氰酸酯与胺类化合物生成白色沉淀的特点来检测解封闭温度。
 
 
6 展望
从PU初次被合成到现在这80多年的时间中,PU的发展经历溶剂型PU、WPU和SFPU三大工艺模式。封闭型溶剂PU由于存在环境污染已逐步被淘汰;封闭型WPU因为要考虑到其分散性的问题,在封闭剂的选择上受到很大的限制,目前仅采用单一种类的封闭剂;而封闭型SFPU则是PU的发展趋势,其生产过程零排放,产品完全环保、无毒,具有很好的储存稳定性。尽管封闭型SFPU的研究已取得很多的成果,但仍存在以下问题:(1)就单体选择而言,选择范围依然较小,仅采用反应速率较慢的脂肪族异氰酸酯;(2)就生产而言,由于其在生产中不添加溶剂,导致封闭型SFPU预聚体黏度过高,增加生产难度;(3)就解封闭而言,解封闭温度普遍较高,生产成本也提高;(4)就产品而言,封闭型SFPU解封闭时会有小分子的封闭剂逸出,对产品性能造成影响。如何解决这四个问题将是封闭型SFPU的研究趋势。另外,环氧封端型SFPU也是封闭型SFPU领域亟待研究的热点。

为方便阅读,本文移除了脚注。如有需要,请参《材料导报》2019年第23期。

  • 标签:
相关阅读

本站所有信息与内容,版权归原作者所有。网站中部分新闻、文章来源于网络或会员供稿,如读者对作品版权有疑议,请及时与我们联系,电话:025-85303363 QQ:2402955403。文章仅代表作者本人的观点,与本网站立场无关。转载本站的内容,请务必注明"来源:林中祥胶粘剂技术信息网(www.adhesive-lin.com)".

网友评论

©2015 南京爱德福信息科技有限公司   苏ICP备10201337 | 技术支持:建站100

客服

客服
电话

1

手机:18114925746

客服
邮箱

565052751@qq.com

若您需要帮助,您也可以留下联系方式

发送邮箱

扫二
维码

微信二维码