加载中...

点击这里给我发消息

QQ群:417857029

期刊专利论文

非光气制异氰酸酯绿色过程

来源:互联网2020年08月17日

阅读次数:

 
 导语 
让思考碰撞出更多绚烂火花,让思维腾飞出无限可能。
24K硬质干货,引爆您的知识库。请看今日小编推荐!

非光气制异氰酸酯绿色过程

刘士民, 王培学, 邓友全

中国科学院兰州化学物理研究所, 羰基合成与选择氧化国家重点实验室, 固体润滑国家重点实验室, 兰州730000)

(青岛市资源化学与新材料研究发展中心, 青岛266000

来源:中国科学: 化学;2020 年第50 卷第2 期: 235 ~ 244

摘要

异氰酸酯是聚氨酯合成的主要原料. 目前, 工业上主要采用光气法制备异氰酸酯. 该工艺使用剧毒的光气同时副产大量腐蚀性的氯化氢. 非光气制异氰酸酯是绿色化学及相关过程的最重要的内容, 它的实现将导致传统的光气工艺乃至聚氨酯行业产生革命性的变化. 本文主要介绍了本课题组多年来不同羰源下催化羰化制N-取代氨基甲酸烷基酯、热裂解制备异氰酸两步反应的研究进展及存在的问题, 特别是近两年本课题组在脂肪族N-取代氨基甲酸烷基酯热裂解过程中聚合物的形成与解聚方面的思路, 提出了具有工业实际应用价值的非光气制异氰酸酯的三步反应过程。

关键词

非光气, 异氰酸酯, 羰化, 热裂解, 醇解

 

 引言

异氰酸酯特别是二异氰酸酯(图1)是一种重要的有机合成中间体, 是合成聚氨酯的重要原料. 全球异氰酸酯产量在2014年就达到1千万吨, 国内超过3百万吨.目前, 工业上生产异氰酸酯的工艺仍为光气过程. 光气法生产异氰酸酯需要以超过化学计量比的剧毒光气为原料, 同时伴随大量的强腐蚀性HCl, 增加了分离和操作成本. 摒弃异氰酸酯的光气工艺就意味着大幅减少光气的生产与使用. 绿色化学及相关过程的理念已在世界提出和实践了近40年, 非光气制异氰酸酯是绿色化学及相关过程的最重要的内容之一, 它的实现将导致传统的光气工艺乃至聚氨酯行业发生革命性的变化.

 

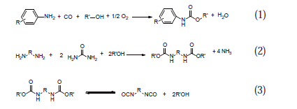
科学上, 可行的非光气制异氰酸酯为两步反应, 即胺与合适羰源制N-取代氨基甲酸酯, 然后进行热裂解反应的非光气制异氰酸酯的思路早已建立(式(1~3)):

非光气制异氰酸酯绿色过程

国际上, 如Bayer、BASF、旭化成等异氰酸酯生产巨头在20世纪70年代, 以上述基本思路为基础公开了一系列非光气生产异氰酸酯的方法. 

非光气制异氰酸酯绿色过程

理论上, 两步反应的非光气制异氰酸酯与对应的光气路线相比,除了过程绿色, 在经济成本方面也有明显优势. 但不幸的是, 这些方法都没能推向工业应用. 究其原因, 热裂解反应理论上是反应式(3), 但实际上是

非光气制异氰酸酯绿色过程

最主要的是, 热裂解反应过程中聚合物副产物的形成致使目标产物产率过低, 导致其与已具有百年发展与改进历史的光气路线在实际成本方面没有竞争力. 除此之外, 非光气路线中的第一步反应胺与合适羰源合成N-取代氨基甲酸酯与第二步热裂解反应制相应异氰酸酯仍存在很大的改进与提高的空间,甚至在羰源的选择上都有很大的研究与发展空间.

 

在此, 我们主要介绍了本课题组兼国内外研究者采用不同羰源催化羰化制N-取代氨基甲酸烷基酯、热裂解制备异氰酸两步反应的研究发展及存在的问题,特别是近两年本课题组在热裂解过程中聚合物的形成与解聚方面的新思路, 创新性地提出了具有工业实际应用价值的非光气制异氰酸酯的三步反应过程.

 

2 N-取代氨基甲酸酯的催化合成

2.1 CO为羰源

理论上, 以CO为羰源催化硝基类化合物的还原羰化或胺类化合物的氧化羰化可以一步反应制相应的异氰酸酯. 此类反应在20世纪初即开展了研究, 可能是因为难度太大且光气工艺的工业应用, 遂至今再无研究报道.

非光气制异氰酸酯绿色过程

难度小的路线可以CO、O2、胺和醇为原料, 通过催化氧化羰基化反应得到相应的N-取代氨基甲酸酯(式(1)), 即异氰酸酯的热裂解底物. 本课题组最早尝试将聚合物担载纳米金催化剂, 应用于苯胺氧化羰化制苯胺基甲酸酯. 研究发现, 聚合物担载纳米金可高效地实现苯胺基甲酸酯的合成, 此聚合物担载纳米金及苯胺基甲酸酯的策略引起BASF有关专家的关注,并采用我们发展的催化剂进行了证实. 随后我们又使用[DMIm][BF4]离子液体(IL)为溶剂, 利用催化剂与离子液体之间的相互作用, 也成功地实现了苯胺高效催化氧化羰化反应. 当使用担载离子液体催化剂时, 通过纳米尺度限域的离子液体, 不仅可以大大降低离子液体的用量和催化反应的温度, 也有助于离子液体与产物的分离.

 

虽然由CO氧化羰化反应制N-取代氨基甲酸酯路线需要高压及贵金属催化剂, 并且CO和O2的混合物有爆炸隐患, 但考虑到CO来源广泛且成本低廉, 以CO为羰源的有机胺羰化反应, 应该是一条值得研究发展的路线, 其基础研究与实际应用的潜力与优势有必要重新认识和加以研究.

 

2.2 碳酸二甲酯为羰源

碳酸二甲酯(DMC)为羰源合成N-取代氨基甲酸酯的催化剂多以酸碱催化剂为主, 该过程条件温和, 在常压下即可进行, 不使用剧毒原料、对环境基本不造成污染, 反应副产物是甲醇, 属于一种相对绿色的化工生产工艺:

非光气制异氰酸酯绿色过程

以DMC与1,6-己二胺(HDA)合成1,6-己二胺基甲酸甲酯(MHDC)为例, 已经有大量的工作开展, 并取得了不错的结果(表1). 常用催化剂包括碱催化剂和Lewis酸催化剂, 本课题组将酸功能化的离子液体([BSO3HMIm][OTf])作为催化剂应用于该反应, HDA的转化率达100%, MHDC的选择性达94%. 最近, 我们又发展了一种新型的氨基三氮唑钾盐(KATriz)催化剂,室温条件下就可以达到100%的HDA转化率和接近100%的MHDC选择性. 催化剂的高活性可能是源自KATriz会溶解于反应过程中生成的甲醇, 使催化剂从多相转化为均相. 但DMC与碱性较差的芳香族二胺的反应活性低, 常见的4,4-二苯基甲烷二胺(MDA)和2,4-甲苯二胺(TDA)与DMC反应温度都在150℃以上. 现报道的催化剂主要为Zn(OAc)2和Pb(OAc)2, 在180℃反应2 h, TDA、MDA等胺的转化率>99%, 选择性>97%, 但是该类催化剂稳定性差, 会与DMC及生成的甲醇反应导致催化剂失活. 此外, 反应过程中DMC用量较大, 烷基化副产物分离困难, 目前还不具备工业应用价值.

非光气制异氰酸酯绿色过程

2.3 尿素为羰源

尿素作为无毒、价廉的羰源也可以替代光气与醇、胺反应合成N-取代氨基甲酸酯(式(2)), 规模生产下反应中副产的NH3可以回收再利用. 本课题组制备了一系列二氧化硅担载的铬钛催化剂并用于HDA、尿素与乙醇反应合成1,6-己二氨基甲酸乙酯(EHDC). 其中TiO2-Cr2O3/SiO2表现出最高的催化活性,在190℃反应8 h, HDA的转化率约为100%, EHDC的收率高达98%~99%. 通过红外光谱研究发现, 该过程的反应历程为尿素和HDA先形成脲, 脲的形成比较容易即使在无催化剂的条件下也能生成, 但是其进一步的醇解过程是比较困难的, 必须在合适的催化剂条件下才完全醇解. 尿素作为羰源的成本较DMC低很多, 更重要的是, 与脂肪族胺所生成的N-取代氨基甲酸酯中烷基化的副产物很少, 具备工业应用价值. 但是芳香族胺特别是二胺与尿素反应, 不仅转化率低而且生成大量的脲及烷基化的副产物, N-取代氨基甲酸酯收率都在70%以下, 仍需研究发展新催化剂.

 

2.4 小分子氨基甲酸酯为羰源

本课题组[15]研究发现, 催化尿素与小分子醇(甲醇、乙醇和丁醇)反应合成的小分子氨基甲酸甲酯(MC)、乙酯(EC)和丁酯(BC), 也可以作为羰基化试剂与胺反应合成N-取代氨基甲酸酯:

非光气制异氰酸酯绿色过程

我们以该路线进行研究, 发展了一系列催化剂如Y(NO3)3•6H2O和FeCl3

. 通过研究发现小分子氨基甲酸酯的反应活性以EC为最高. 例如, 在FeCl3的催化作用下, 虽然HDA转化率都接近100%, 但是MHDC、EHDC、BHDC的收率分别为84%、93%和91%. 不过,使用FeCl3催化剂后转化为Fe2O3、Fe3O4和Fe(OH)3等的混合物. 此外, 本课题组以酸功能化的离子液体([BMIm]H2PO4)作为催化剂对HDA进行羰化, HDA的转化率达100%, BHDC的分离收率达到92%. 同时对催化剂的普适性也进行了考察, 发现以BC为羰源, 该催化体系对脂肪胺具有较好的催化活性(分离收率>90%), 对于芳香胺的催化活性较差. 此外, 我们还开发了一种磁性催化剂(5.1 wt% Ni/Fe3O4)[18], 在190℃条件下反应5 h, EHDC的分离收率达到99%, 催化剂重复使用多次活性没有下降. 而且该催化剂对芳香族二胺也有较好的催化效果. 经准原位红外与同位素示踪实验发现, N-取代氨基甲酸酯合成过程经历一个脲衍生物中间体.

 

小分子氨基甲酸酯也可以成为工业应用的羰源.相比于尿素, 小分子氨基甲酸烷基酯在反应过程中释放的氨气量少, 而且理论上不需要外加醇, 产能大, 目前以脂肪族胺为底物合成小分子氨基甲酸酯的收率已达到可以工业应用的水平. 因此, 对如何高效合成小分子氨基甲酸烷基酯我们也开展了研究, 如尝试了由NH3、CO2和醇一步合成小分子氨基甲酸酯[19]. 在CO2压力为5 MPa, 以V2O5为催化剂, 200℃, 反应4 h, 在不添加脱水剂的情况下MC的收率和选择性分别可达25%和98%, 收率接近于理论计算结果(29%). 表征发现, V2O5催化剂在反应过程中会与NH3反应转化为(NH4)2V3O8, 是起催化作用的关键物种. 在优化反应条件下, 当以乙醇和丁醇为反应物时, 相应EC和BC的收率分别为12%和14%. 在外加三甲氧基硅烷为脱水剂的情况下, MC的收率可以达到63%.

 

2.5 CO2为羰源

理论上, 胺特别是脂肪族胺、醇和CO2可一步合成相应的N-取代氨基甲酸酯, 反应的副产物只有水:

非光气制异氰酸酯绿色过程

但是, 该反应由于受到热力学平衡限制, 目标产物收率较低. 若要提高产物收率, 只能采用大量的脱水剂, 由此不仅抵消了廉价CO2的优势, 而且产生大量废物, 反而得不偿失. 从高效且绿色角度考虑, 胺、醇和CO2一步合成相应的N-取代氨基甲酸酯应难以具备工业应用价值.

 

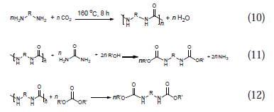
本课题组利用脂肪族二胺与CO2在催化剂作用下合成了一系列聚脲, 然后再与尿素、氨基甲酸酯或碳酸二烷基酯偶合反应高效地制备了一系列脂肪族N-取代二氨基甲酸酯, 见式(10~12). 该过程中的聚脲、尿素和碳酸二烷基酯都可由CO2合成, 因此该过程可间接实现CO2、脂肪族二胺与醇合成N-取代二氨基甲酸酯.

非光气制异氰酸酯绿色过程

对于第一步聚脲的合成, 本课题组[20~22]制备了一系列催化剂来促进HDA和CO2的缩聚反应. 研究发现,催化剂的活性与其碱性呈正相关. 溶剂的碱性对聚脲的形成也有重要的影响, 极性溶剂N-甲基吡咯烷酮(NMP)是该反应的最佳溶剂. 在制备的离子液体催化剂中己基三丁基磷氨基三氮唑([P4446][ATriz])活性最高, 在170℃, 反应8 h, 己二胺基聚脲的收率可达97%.在优化的反应条件下, 我们合成了一系列脂肪族和芳香族二胺的聚脲. 结果发现, 链状的脂肪族二胺随着链的增长, 其相应聚脲的收率逐渐增大, 这是由于短链的乙二胺主要形成环状二取代脲; 环状二胺和芳香族二胺分别受空间位阻和苯环共轭效应的影响, 相应聚脲的收率低于链状二胺. 我们还利用飞行时间质谱(MALDI-TOF-MS)对不同反应时间的聚脲进行了分析, 随着反应时间的延长, 聚脲的收率逐渐增大, 但是相应的聚脲的分子量也在增大, 这可能不利于聚脲的第二步醇解.

 

接下来, 我们将制备的聚脲与碳酸二烷基酯反应高效制备了N-取代氨基甲酸酯 . 以碳酸二丁酯(DBC)为羰源, 采用MgO-ZnO复合氧化物为催化剂,在210℃反应24 h, 相应己二胺基甲酸丁酯的收率达96%. 随后, 采用便宜的尿素代替碳酸二烷基酯作为羰源, 研究了聚脲降解生成N-取代氨基甲酸酯的过程[24].以CuO-ZnO (10 wt%)为催化剂, 在最佳反应条件下,EHDC的收率可达96%. 此外, 我们还对HDA与CO2不同反应时间获得的聚脲产物进行了醇解测试, 其醇解难度随着反应时间的延长而增大; 但是如果反应时间太短, 聚脲收率又降低, 因此需要合理控制聚脲的合成时间.

 

从达到实际应用价值考虑, 采用DMC、尿素或小分子氨基甲酸酯为羰源, 脂肪族胺到N-取代氨基甲酸酯的合成从收率和纯度已能满足要求. 而对于芳香族胺, 如在实际应用中产能更大的MDI, 其相应的N-取代氨基甲酸酯的合成与纯化还需进一步研究和改进.

3 热裂解制异氰酸酯过程

由于异氰酸酯对热敏感, 在温度较高条件下, 极易发生自聚等副反应, 因此是非光气制异氰酸酯过程的难点. 在液相热裂解模式下, 大部分研究集中在催化剂和溶剂的筛选方面. 针对此反应我们开展了如下研究.

 

3.1 热裂解过程中的热效应

本课题组通过差示扫描量热法(DSC)对EHDC的热裂解过程进行了分析(图2). 从DSC曲线中可以看出,EHDC在约195℃时呈现出吸热效应, 说明其开始进行裂解; 而在204℃处出现了一个拐点, 表明此时逆反应也同时进行, 这时EHDC的转化为2.2%; 该曲线在211℃时吸热量达到最高, 逆反应速率在此后会逐步超过正反应速率, 而此时裂解率也仅为3%, 说明异氰酸酯在如此低浓度的情况下就会与醇发生较快的逆向反应, 因此在实际生产过程中, 异氰酸酯与醇应及时分离, 尽量抑制逆反应发生. 此外, 在DSC曲线上所表现出的吸热阶段(195~214℃), 检测到的热焓为(−132 kJ/mol),这应为正逆反应的综合热效应, 净热裂解的贡献仅占26% (理论焓值ΔrH≈500 kJ/mol[25]). 可见热裂解过程是热力学不利反应.

非光气制异氰酸酯绿色过程

3.2 热裂解过程的溶剂

在液相裂解模式下加入适当的溶剂也许是有利的. 溶剂一方面可以适当稀释活性官能团(如–NCO),从而抑制可能的副反应, 另一方面溶剂可以作为储热介质平稳反应进行.

 

对常用的部分高沸点的有机溶剂和离子液体进行热重分析的结果表明(图3), 大部分有机溶剂在250℃已经挥发甚至开始分解, 虽然甲基硅油(Mw=17000)具有较好的稳定性, 但是对底物氨基甲酸酯几乎不溶(图3(a)). 而测试的离子液体在300℃时都足够稳定(图3(b)), 其热稳定性顺序为: 阴离子: [TFSI]>[BF4]>[OTf], 阳离子: [BMMIm]>[HMMIm]>[OMMIm];[BMMIm]>[P4444]>[N4444]. 且离子液体对底物N-取代氨基甲酸酯具有良好的溶解性. 因此, 离子液体可作为热裂解反应溶剂的一个候选. 我们也系统考察了离子液体作为热裂解溶剂的性能. 并采用“金属氧化物超细粉+IL”系统和反应精馏装置模型进行了评价,发现该体系不仅能降低裂解温度, 还可以提高目标产品的收率. 但是, 将催化剂及反应物等加入到离子液体中, 就形成了一个较为复杂的体系, 在长时间高温的情况下, 观察到离子液体也会有部分分解.

 

需要注意的是, 在液相热裂解中一般要加入大量的溶剂, 这样会使热裂解过程的效率大大较低; 此外,溶剂的价格、溶剂的热稳定性和化学稳定性、产物与溶剂的分离等也是应当考虑的问题. 目前在热裂解过程中似乎还没有找到非常合适的溶剂.

非光气制异氰酸酯绿色过程

 

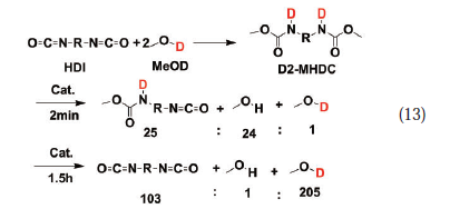
3.3 热裂解反应同位素示踪研究

本课题组利用同位素示踪法初步研究了热裂解过程可能经过的反应历程(式(13)). 先由HDI与CH3OD为原料, 制备了含有氘代二氢的D2-MHDC作为底物; 再将其进行热裂解, 并在不同时间定性、定量地检测反应产物. 结果发现, 在反应初始阶段(2 min), D2-MHDC首先脱去一分子醇, 形成带有异氰酸酯基团的单酯, 产物中的醇是主要是CH3OH, 而非CH3OD; 而反应1.5 h后, 所获得的醇则主要是CH3OD. 由此推测在热裂解过程中N上的H原子不会直接与OCH3相结合(图4(a)), 而是H原子首先与催化剂或H受体表面发生作用后进行解离(图4(b)), 然后O–C=O基团中C–O发生断裂生成异氰酸酯, 催化剂或受体起到过渡H原子的作用.

非光气制异氰酸酯绿色过程

非光气制异氰酸酯绿色过程

3.4 热裂解过程中副产物分析

在热裂解过程中, 产物异氰酸酯会生成多种副产物,本课题组选取了具有代表性的单异氰酸酯和双异氰酸酯的热裂解底物, 即ESiC ([3-(三乙氧基硅基)丙基]氨基甲酸乙酯)和EHDC, 对其在热裂解制备异氰酸酯过程中产生的聚合物采用红外光谱(IR)、飞行时间质谱(MALDI-TOF-MS)、核磁共振(NMR)、热重(TG)等手段进行了定性和定量的研究. 首先通过红外光谱分析了ESiC经过150℃热裂解处理后获得的产物的相关信息(图5). 归属于C=O的特征吸收峰在1700 cm−1左右有伴峰出现, 表明有脲基化合物生成, 即异氰酸酯与含活泼氢的底物ESiC发生反应生成脲基甲酸酯, 脲基甲酸酯上的活性H可再与另一分子异氰酸酯进一步反应, 并发展下去得到分子量不同的直链聚脲类聚合物.通过MALDI-TOF分析表明, 聚合物中底物与二、三、四聚体的比例为25:41:26:7. 这说明ESiC热裂解过程中产生的聚合物以二聚和三聚的低聚物为主. 与纯ESiC相比, 热裂解后的产物在2215 cm−1处出现了一个碳化二亚胺类化合物的特征吸收峰, 其含量相对较少, 这是由异氰酸酯在高温下脱去一分子CO2形成的. 此外, 没有发现异氰酸酯自加聚产物生成, 可能是由于制备单异氰酸酯热裂解过程温度较低的原因.

非光气制异氰酸酯绿色过程

同时我们也分析了以EHDC为底物经过不同温度热裂解处理后获得聚合物的红外图谱(图6). 同样, 在归属于C=O的特征吸收峰在1700 cm−1处附近有伴峰出现, 且其峰宽度明显变宽, 这也是由于异氰酸酯与底物EHDC发生反应造成的. 在1715~1687 cm−1范围内,各种含有C=O的基团吸收峰在此高度重叠, 难以直接区分, 但在核磁图谱上可以发现氨基甲酸酯、脲基甲酸酯、缩二脲等基团的存在. 另外, 在1463 cm−1处出现了归属于异氰脲酸酯刚性氮杂环的特征吸收, 表明异氰酸酯发生了自加聚反应生成了三聚体, 这一点在核磁图谱上也可以印证. 并且随着温度的升高, 三聚体的含量也明显增加. 由于EHDC热处理后形成的混合物不能完全溶于常见的有机溶剂, 利用GPC等传统方法测量分子量和分布变得困难. 只能利用GC和TGA给出混合物组分的大致含量. 经230℃处理的EHDC混合物中EHDC、聚脲化合物、三聚体衍生物的质量百分比分别约为65%、25%、10%; 而250℃处理的EHDC混合物中聚脲化合物、三聚体衍生物的质量百分比分别约占75%、20%, 可见随温度的升高聚合物的含量也增加, 这与红外的结果是一致的.

非光气制异氰酸酯绿色过程

根据以上的结果可得出, 热裂解过程聚合物类的副反应是不可避免的. 对于制单异氰酸酯的热裂解过程来说, 其副产物主要为直链聚脲和碳化二亚胺. 异氰酸酯和含活性的H底物先形成脲基甲酸酯, 脲基甲酸酯上的活性H可再与异氰酸酯反应生成缩二脲, 如此经活性H的传递过程形成聚脲化合物(式(14)). 由于制单异氰酸酯过程的反应温度较低, 形成的聚脲主要为低聚物. 而碳化二亚胺则在加热条件下由两分子的异氰酸酯自缩聚脱去一分子CO2形成(式(15)), 其形成条件相对苛刻, 且由于仅有一个异氰酸酯基团, 并不能形成聚碳化二亚胺. 对于制双异氰酸酯热裂解过程,聚脲副产物的产生机理大致相同, 也是先形成脲基甲酸酯, 再经过活泼氢的传递形成聚合物(式(16)). 但与单酯不同的是, 双酯所形成的产物更加复杂, 这是由于双异氰酸酯与底物两端均可发生反应, 因此可能会发生交联生成网状的聚脲类化合物. 同时由于制双异氰酸酯过程中所需反应温度相对较高, 三个异氰酸酯分子还会自加聚为三聚体, 其核基是异氰脲酸酯六元杂环(式(17)).

非光气制异氰酸酯绿色过程

非光气制异氰酸酯绿色过程

4 热裂解聚合物的醇解

由于热裂解反应过程中聚合物副产物不可避免地形成, 使得目标产物产率降低(副产物占10%~30%). 如果将热裂解过程中生成的聚合物进行有效地回收利

用, 将大大提高该非光气制备异氰酸酯路线的竞争力.通过以上对热裂解形成的聚合物结构和组成相关信息的研究, 本课题组创新性地提出了利用醇解的方法将聚合物进行解聚, 以期重新获得热裂解N-取代氨基甲酸酯底物单异氰酸酯过程所形成的聚合物相对简单, 向其加入尿素和醇后进行醇解反应, 可高效地对聚合物进行回收. 以ESiC热裂解所形成的聚合物为例, 190℃反应8 h, 96%以上的聚合物经过醇解反应可再次转化为N-取代氨基甲酸酯底物[28], 而不加催化剂时聚合物转化率仅为16%. 对于聚合物中的直链聚脲, 是底物与多个异氰酸酯反应所形成的, 且聚合度不高, 在尿素存在的条件下, 可以较为容易地发生醇解(式(18)). 需要注意的是, 虽然尿素在醇解过程中没有直接发生反应, 但尿素是不可或缺的. 我们推测尿素可能起到调停剂(mediator)的作用, 并提出了可能的催化机理(图7). 加入尿素后, 尿素上的N–H和C=O分别与聚脲上的C=O和N–H形成氢键作用(通过红外光谱可以证实, 聚脲中归属于C=O–N–H基团的1570 cm−1处吸收峰向低波数移动至1565 cm−1), 从而有利于醇进攻C=O–N–H中的羰基, 促进了醇解. 对于碳化二亚胺, 先经过水处理, 其会转化为取代脲(式(19)), 脲则与醇反应生成单酯底物和胺(式(20)); 胺在尿素和醇的存在下也会进一步转化成单酯底物(式(21)), 尿素则在这里扮演了羰源的角色

非光气制异氰酸酯绿色过程

非光气制异氰酸酯绿色过程

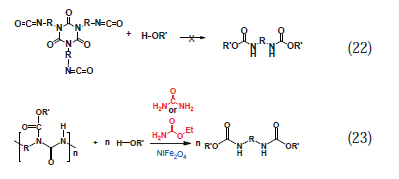
而对于双异氰酸酯过程所形成的聚合物, 其解聚的难易程度与热裂解产生聚合物的聚合情况有关. 如聚合物中只含有简单的聚脲低聚物(二聚或三聚物),那么较易醇解, 聚脲转化率可达95%以上; 但如果热裂解过程产生的聚合物中含有高交联度的聚脲或生成异氰脲酸酯三聚体, 解聚则较为困难. 尤其是异氰脲酸酯衍生物, 由于其具有稳定的六元环结构, 更是难以醇解(式(22)). 为此, 我们发展了Fe-Ni/Al2O3催化剂, 对EHDC在230℃(含热裂解催化剂)条件下产生的聚合物进行了初步的醇解研究(聚脲约73 wt%, 三聚体约25wt%), 加入EC情况下, 聚脲的转化率约为77%, 催化剂的活性中心源自于NiFe2O4尖晶石[29]. 由于聚合物中含

有约25%的异氰脲酸酯衍生物, 可能会形成包覆现象,从而影响聚脲的醇解, 因此在热裂解过程要控制条件避免严重聚合反应发生, 特别是三聚体的生成. 聚合物中的聚脲类化合物的转化与单异氰酸酯中的聚脲类似(式(23)), EC(或尿素)也是必须的(不加时聚脲转化率仅4%), 它们也可能起到调停剂(mediator)的作用.

非光气制异氰酸酯绿色过程

通过对非光气制脂肪族N-取代氨基甲酸烷基酯异氰酸酯过程的研究和理解, 我们提出了经历三步反应的过程(图8), 即: (1) 以小分子氨甲基酸酯为羰源制备N-取代氨甲基酸酯底物; (2) 热裂解制异氰酸酯; (3) 醇解热裂解过程产生的聚合物, 使其再转化为N-取代氨甲基酸酯. 在提高该过程效率方面需要注意的是: 热裂解的过程中应快速进行正向反应, 并快速实现异氰酸酯与醇的分离; 同时尽可能地使热裂解过程产生的聚合物及时移出, 减少高交联的聚合物和异氰脲酸酯衍生物的产生, 然后迅速将其解聚, 从而实现其高效转化. 这有望将非光气过程的脂肪族异氰酸酯总收率提高到95%以上. 目前光气过程制脂肪族异氰酸酯的收率为90%以上.

非光气制异氰酸酯绿色过程

5    总结

通过对非光气制脂肪族异氰酸酯过程多年的研究和积累, 我们提出了以小分子氨基甲酸酯为羰源非光气制异氰酸酯的三步反应绿色过程. 尽管多了一步反应, 但对提高其反应效率有益, 有望将脂肪族二异氰酸酯, 如HDI、IPDI、HMDI等的总收率提高到95%以上, 具备工业应用的前景. 对于芳香族二异氰酸酯,如MDI、TDI等, 尽管其非光气路线制取难度更大, 但所提出的三步过程对其研究发展也有一定的借鉴意义.

 

为方便阅读,本文移除了脚注。如有需要,请参阅《中国科学: 化学;2020 年第50 卷 第2 期: 235 ~ 244

  • 标签:
相关阅读

本站所有信息与内容,版权归原作者所有。网站中部分新闻、文章来源于网络或会员供稿,如读者对作品版权有疑议,请及时与我们联系,电话:025-85303363 QQ:2402955403。文章仅代表作者本人的观点,与本网站立场无关。转载本站的内容,请务必注明"来源:林中祥胶粘剂技术信息网(www.adhesive-lin.com)".

网友评论

©2015 南京爱德福信息科技有限公司   苏ICP备10201337 | 技术支持:建站100

客服

客服
电话

1

手机:18114925746

客服
邮箱

565052751@qq.com

若您需要帮助,您也可以留下联系方式

发送邮箱

扫二
维码

微信二维码