加载中...

点击这里给我发消息

QQ群:417857029

期刊专利论文

双重固化技术在UV胶粘剂中的应用

来源:CATIA2021年09月03日

阅读次数:

UV固化技术的基本概念

紫外光(UV)固化技术是二十世纪60年代以来开发的一种高效,节能,环保的高新固化技术,它是指在高能量的紫外光作为固化能源的照射下,由体系中的光引发剂吸收紫外光产生自由基,引发光敏树脂(预聚物)和活性稀剂分子发生连锁聚合反应,使得液相体系在瞬间进行聚合、交联和固化的过程。

 

UV固化胶粘剂主要组分

UV固化胶粘剂主要由预聚物、光引发剂、活性单体等组成,根据不同的需要还可加入增感剂、增塑剂、稳定剂、增粘剂、抗氧剂等各种助剂。预聚物是UV固化胶粘剂的主要成分,其结构和分子量的大小都影响着产物的硬度、柔韧性、粘接强度、耐介质性和持久性等,其反应速度与分子量、官能度及官能团的种类有关。

 
 
 

预聚物(prepolymer)

预聚物是UV固化体系最主要的组分,它构成了固化产品的基本骨架,决定固化后产品的基本性能(如硬度、柔韧性、粘附性、耐磨性、耐水性、耐腐蚀性,光学性能和耐老化性能等)。另外预聚物的结构对光固化的速度也有很大的影响, 不同的固化体系需要选用不同的预聚物。按光引发剂引发的方式,预聚物一般可以分为两种:

 

1.自由基固化型预聚物

自由基光固化预聚物要求分子必须带有不饱和基团。在紫外光的照射下,分子中的不饱和基团相互交联,由液态涂层变成固态涂层。丙烯酸酯由于其反应活性高而经常被使用。常用的预聚物主要有环氧丙烯酸酯、聚氨酯丙烯酸酯、聚酯丙烯酸酯等。

 

2.阳离子固化预聚物

阳离子固化型预聚物是指在阳离子光引发剂的存在下,经过紫外光照射后,光引发剂分解成质子或离子,从而引发体系(预聚体和单体)进行开环聚合或阳离子聚合的一类预聚体。阳离子固化体系适合的预聚物主要包括各种环氧树脂、环氧官能化聚硅氧烷树脂、具有乙烯基醚官能基的树脂。目前,由于聚合速率的影响,阳离子固化型预聚物单独应用较少。

 
 
 

光引发剂

光引发剂是光固化体系中的关键组分,加入光引发剂可使胶粘剂光敏感度大幅度增加,加快体系的固化速度。尽管光引发剂在整个光固化体系中只占很小的比例(0.5%-6.0%), 但在光固化过程中起着重要的作用。光引发剂吸收紫外光后,经分解产生自由基或离子,引发体系中的不饱和键聚合、交联固化成一整体。常用的光引发剂按固化机理分为:

 

1.自由基型光引发剂      

自由基光引发剂由紫外光光照后产生自由基,进而引发体系进行聚合反应, 自由基光引发剂可分为两类:

 

(1).分裂型光引发剂

包括苯偶姻及其衍生物类、苯偶酞缩酮类、苯乙酮类等。这种类型的引发剂在吸收紫外光后均裂,产生两个自由基,再由自由基引发不饱和基团聚合。

 

BASF公司开发了一种新的光引发剂酰基磷氧化物,如BAPO,819和TPO等也属于分裂型引发剂。酰基磷氧化物中添加微量红色、蓝色、紫色等有机颜料,同样可以有效防止黄变现象的发生。

 

(2).夺氢型光引发剂

包括二苯甲酮和胺类化合物、硫杂蒽酮类、樟脑醌和双咪唑等。硫杂蒽酮类光引发剂在近紫外光区的最大吸收波长在330-42Onm,且吸收能力和夺氢能力强,具有较高的引发效率。

 

钛茂光引发剂是少数几个能满足各方面要求的金属有机光引发剂之一,它们具有良好的光活性、热稳定性和毒理性能。不仅在可见光区吸收良好,在UV光区也有较强的吸收,但消光系数太大,只适合薄涂层。

 

2.阳离子型光引发剂

阳离子光固化体系其主要是利用引发剂光照后产生酸的特点,使一些阳离子聚合反应或酸催化反应得以在光照后进行。阳离子引发剂主要包括芳香重氮盐、芳基碘锡盐、硫锡盐和芳茂铁盐类。重氮盐由于光引发时产生气泡而且稳定性差,现在己基本淘汰。最常用的是硫锡盐和碘锡盐等。

 
 
 

活性单体

1.自由基聚合活性单体

自由基活性单体一般以丙烯酸酸型活性单体为主,根据单体中官能团双键目,可分为单官能团、双官能团及多官能团丙烯酸酯,官能团数目越多,紫外固化速度越快,同时又能提高固化物的耐热等性能。但用量过大时,会产生固物硬而脆的缺点。对单体的要求除了应具有的固化速度、高反应活性、低粘度以及优异机械性能之外,还要兼顾挥发性小、低毒、低气味、与树脂相溶性好等,因而在往往采用混合单体以提高胶粘剂的综合性能。

 

2.阳离子聚合活性单体

低分子量的环氧化合物和乙烯基醚化合物都可以做阳离子固化体系的单体稀释剂。环氧化合物与乙烯基醚化合物相比,聚合时不易受湿气的阻聚,但其反应活性较差。二者常可配合使用。

 

UV固化反应机理

双重固化技术在UV胶粘剂中的应用

 
 
 

UV固化中氧阻聚问题

1.因为氧分子在UV固化体系中,同自由基反应产生竞争,如果氧分子竞争获胜,表现为严重的氧阻聚作用。其一,处于基三线态氧可以作为猝灭剂,将激发三线态的光引发剂猝灭,氧分子被激发至的单线态,光引发剂从激发态回到基态,阻碍活性自由基的产生。幸而大多类型光引发剂的激发三线态寿命较短,在激发态引发剂与分子氧作用前,就已经分解掉,氧分子与光引发剂发生双分子猝灭作用的几率相对较低,经常忽略。

 

2.基态的氧分子处于三线态,本质上是双自由基,因此对光引发中产生的活性自由基有较强的加成活性,形成对乙烯基单体无活性的过氧自由基,此过程速率较快,可与活性自由基对单体的加成反应相竞争,对聚合过程的阻碍作用显著。有关氧分子阻聚的反应如下式所示:

 

双重固化技术在UV胶粘剂中的应用

 
 
 

UV固化技术的优点

UV固化技术具有低VOC排放量,固化速度快,节省能源,固化膜综合性能好,降低可燃性,减少液态废弃物,适合高速自动化生产线和对热敏感基材的涂布等诸多优点。UV固化材料由于应用了UV固化技术,防止了溶剂挥发造成的污染,节约了能源,大大缩短了固化时间。随着21世纪的UV固化技术的发展,人们环保、节能意识的增强,UV固化技术必将趋向更大的发展。

 
 

UV固化技术的缺点

1.在不透明的材质之间、形状复杂的基材上、超厚涂层及有色涂层等中的应用比较困难,因为只有UV光能照射到的地方才能固化,UV光照不到的地方很难固化完全。

 

2.也有体积收缩率大,粘接强度较差等问题。

 

双重固化的由来

自由基光固化体系具有固化速度快,性能易于调节的优点,与之相比,阳离子固化体系具有体积收缩小、粘接强度高、耐磨、硬度高等优点,但它也有固化速度慢、齐聚物和活性稀释剂种类少、光引发剂价格高、固化产物性能不易调节等缺点。如果自由基、阳离子混杂光固化体系适当配合,则有望取长补短,得到固化速度快、体积收缩小、胶层内应力小、粘接强度高的光固化胶粘剂。

 

双重固化技术是将UV固化与其他固化方式结合起来的固化技术。由于UV固化存在着自身的缺点:只有UV光能照射到的地方才能固化,UV光照不到的地方很难固化完全。而双重固化方式结合了各种聚合反应的优点,表现出很好的协同效应,是高分子材料改性的新方法,可以扩展UV固化体系在不透明的材质之间、形状复杂的基材上、超厚涂层及有色涂层等中的应用。

 

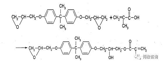
双重固化预聚体的合成

 

双重固化技术在UV胶粘剂中的应用

 

 

用环氧树脂和甲基丙烯酸为原料,合成既可以UV固化也可以热固化的甲基丙烯酸环氧单酯,其结构含有丙烯酸C=C双键,又含有环氧结构,可以克服体系组分不相容和避免局部固化不均匀的问题。

 

双重固化的实验流程图

 

 

双重固化技术在UV胶粘剂中的应用

 
 
 

双重固化的优点

在双重固化体系中,体系的交联或聚合反应是通过独立的具有不同反应原理的阶段来完成的。其中一个阶段是通过紫外光反应,另一阶段是通过热固化、湿气固化、氧化固化或厌氧固化反应等暗反应来进行的。这样就可以利用紫外光使体系快速定型或达到“表干”,而利用暗反应使“阴影”部分或内层充分固化,达到“实干”。

 

双重固化的发展前景

将双重固化技术应用于胶粘剂的研制,必将赋予UV固化胶粘剂更强大的竞争力。双重固化胶粘剂由于有暗反应的帮助,可以克服光固化胶粘剂的很多限制,扩展了UV固化胶粘剂在不透明介质间、形状复杂的基材、超厚胶层及有色胶层中的应用。为不透明材质间或形状较复杂的粘合对象的光固化粘合提供了条件。双重光固化胶粘剂现已可用于保护涂层,密封,高速安装等领域。

 

双重固化的应用实例

对于不透明材质间的粘合,可以先将UV固化胶粘剂涂布后进行光照,然后再进行装配,装配后胶粘剂可在无光照情况下进行暗反应固化反应,达到固化完全。另外自由基寿命较短,一旦无光照反应即停止,而且自由基引发的聚合反应速度一般较快,为此需要对自由基固化体系进行改进,使用混合引发剂,使体系不仅可在光照时分解出自由基,也可在加热时分解出自由基,另一方面可在体系中加入挥发性阻聚剂以抑制光照时的反应速度。

  • 标签:
相关阅读

本站所有信息与内容,版权归原作者所有。网站中部分新闻、文章来源于网络或会员供稿,如读者对作品版权有疑议,请及时与我们联系,电话:025-85303363 QQ:2402955403。文章仅代表作者本人的观点,与本网站立场无关。转载本站的内容,请务必注明"来源:林中祥胶粘剂技术信息网(www.adhesive-lin.com)".

网友评论

©2015 南京爱德福信息科技有限公司   苏ICP备10201337 | 技术支持:建站100

客服

客服
电话

1

手机:18114925746

客服
邮箱

565052751@qq.com

若您需要帮助,您也可以留下联系方式

发送邮箱

扫二
维码

微信二维码