加载中...

点击这里给我发消息

QQ群:417857029

期刊专利论文

聚氨酯凝胶预聚物对传统树脂基质体积收缩的影响及对其综合性能的改善作用

来源:互联网2021年10月25日

阅读次数:

于改改,王惠敏,田子璐,杨宇斌,朱轩言,朱松

(吉林大学口腔医院修复科
吉林长春130021)

来源:吉林大学学报 2021年7月 第47卷 第4期

摘要

目的:合成一种光反应性聚氨酯(PU)凝胶预聚物IBGBMA,并探讨其对传统树脂基质体积收缩和机械性能的影响。方法:通过溶液法,以异氟尔酮二异氰酸酯、双酚-A和甲基丙烯酸羟乙酯等为原料,以1,4-丁二醇和三羟基甲基丙烷为扩链剂和交联剂合成一种光反应性PU凝胶预聚物IBGBMA,实现其与光固化树脂基质的化学结合,通过傅里叶变换红外光谱仪(FT-IR)对其结构进行表征。以不添加IBGBMA的Bis-GMA/TEGDMA(7∶3)传统树脂基质制备的试件为对照组,以添加5%、10%、15%和20%IBGBMA的传统树脂基质制备的试件为实验组。通过密度瓶法检测各组树脂基质固化后的体积收缩率,万能试验机检测各组试件挠曲强度(FS)和弹性模量(EM),维氏硬度仪检测各组试件维氏硬度,FT-IR峰面积法检测各组树脂基质双键转化率。结果:FT-IR检测出终产物碳碳(C=C)双键(1638cm-1)和氨基甲酸酯基团(-NHCOO-)(3310cm-1)特征性吸收峰,表明合成了具有反应性的目标产物IBGBMA,光固化时可与树脂基质发生聚合反应。随着IBGBMA添加量的增加,各实验组树脂基质固化后体积收缩率逐渐降低,且均低于对照组(P<0.05)。与对照组比较,20%IBGBMA实验组试件FS和EM明显降低(P<0.05),其余各组间比较差异均无统计学意义(P>0.05)。与对照组比较,15%和20%IBGBMA实验组试件维氏硬度明显增加(P<0.05)。各实验组树脂基质双键转化率随IBGBMA添加量的增加而降低,15%和20%IBGBMA实验组树脂基质双键转化率低于对照组(P<0.05)。结论:成功合成了可光固化的反应性聚氨酯凝胶预聚物,其中添加了15%IBGBMA的实验组树脂基质固化后所制备的试件体积收缩率明显降低,维氏硬度增强,而FS和EM不受影响,其综合性能得到改善。

 

关键词

聚氨酯凝胶;聚合反应;体积收缩率;机械性能;挠曲强度;弹性模量

引言

本研究设计合成一种可光固化的反应性PU凝胶,利用这种大分子具有的三维立体结构,在光固化复合树脂基质中作为预聚物颗粒,探讨其对传统树脂基质体积收缩和机械性能的影响。

1 实验

1材料与方法
1.1材料和仪器

    双酚A(BPA,99%)、异佛尔酮二异氰酸酯(IPDI,99%)、甲基丙烯酸羟乙酯(HEMA,95%)、二月桂酸二丁基锡(DBTDL,95%)和溴化钾(KBr,99%)均购自美国TCI公司,双甲基丙烯酸缩水甘油酸酯(Bis-GMA,99%)、三乙二醇二甲基丙烯酸酯(TEGDMA,95%)、樟脑醌(CQ,97%)和4-二甲氨基苯甲酸乙酯(4-EDMAB,99%)均购自美国SigmaAldrich公司,1,4-丁二醇(BDO,98%)和三羟基甲基丙烷(TMP,99%)购自上海源叶生物科技有限公司,石油醚和四氢呋喃(THF,99%)购自天津市精强化工有限公司。磁力搅拌仪(德国IKA公司),超声震荡仪(昆山市超声仪器有限公司),AG-XPLUS万能试验机和HMV-G20维氏硬度仪(日本岛津公司),电子分析天平(MATTELERAE240,北京晨曦勇创科技有限公司),LED可见光固化灯(SLC-Ⅷ,杭州四方公司),数显千分尺(桂林测量刀具有限公司),鼓风干燥箱(上海姚氏仪器设备厂),傅里叶变换红外光谱仪(FT-IR,VERTEX-80V,德国Bruker公司)。
1.2PU预聚物IBGBMA的制备
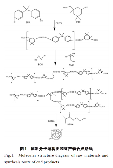
    由于口腔材料临床应用时需要短时间内固化,因此应用于口腔的PU大多通过共聚和接枝等方法进行改性,将带有羟基的丙烯酸酯类树脂与异氰酸酯基团封端的PU反应,生成含有丙烯酸酯基的PU,丙烯酸酯基PU可以在光引发剂存在时短时间内发生固化。为使最终产物具有反应性,设计以下合成方案:①将11.68gIPDI和0.1gDBTDL加入含60mLTHF的反应瓶中,N2环境下保护,65℃搅拌;5.71gBPA溶于30mLTHF后,逐滴加入反应瓶中,65℃持续反应约4h。②通过FT-IR监测,当反应体系中BPA的-OH峰消失,形成-NCO封端的低聚物时,0.25gBDO扩链剂和0.98gTMP交联剂溶于10mLTHF中,逐滴加入反应瓶,约2h后,通过FT-IR监测反应体系中-OH峰消失。③3.9gHEMA溶于15gTHF中,使过量HEMA的-OH与-NCO反应,形成碳碳(C=C)双键封端的反应性聚氨酯-二甲基丙烯酸酯预聚体(简称IBGBMA),HEMA的羟基与终末产物的-NCO基团反应,最终形成以C=C双键封端的反应性终产物IBGBMA。整个合成过程通过红外图谱判断反应终止时间,反应终止时原料中IPDI的-NCO基团吸收峰消失。IBGBMA原料分子结构图及合成路线见图1。

聚氨酯凝胶预聚物对传统树脂基质体积收缩的影响及对其综合性能的改善作用

 

    将反应结束的混合物缓慢滴入搅拌的石油醚溶剂中,去除小分子杂质,预聚物成为白色沉淀;过滤白色沉淀,将沉淀再次溶于THF溶剂中,反复沉淀操作2次,达到提纯的目的;抽真空烘干得到白色固体粉末即最终产物。

1.3实验分组
    以不添加IBGBMA的Bis-GMA/TEGDMA传统树脂基质(质量比保持7∶3不变)作为对照组,以添加质量比分别为5%、10%、15%和20%IBGBMA的传统树脂基质为实验组。为促进IBGBMA在基质中充分快速混匀,各组均添加1%HEMA,40℃超声30min。具体配比见表1。

聚氨酯凝胶预聚物对传统树脂基质体积收缩的影响及对其综合性能的改善作用

1.4各组树脂基质体积收缩率检测
    以体积收缩率来表征树脂基质的体积收缩绝对值。首先采用比重瓶法测试基质固化前密度。使用5mL比重瓶,20℃环境下,在高精密度电子天平上称量比重瓶质量M0;注满蒸馏水,称其质量M1;弃蒸馏水,注满实验树脂基质,称其质量M2;根据公式计算基质固化前的相对密度(ρ):ρ前=(M2-M0)/(M1-M0)×ρ水×100%。将实验基质放入直径4mm、高度2mm的金属模具中,制备圆柱形试件,分析天平称量其质量为M3。5mL比重瓶注满蒸馏水,称量其质量为M4。再将样品放入注满水的瓶中,称量其质量为M5,根据公式计算树脂基质固化后ρ:ρ后=M3×ρ水/(M3+M4-M5)×100%。体积收缩率(ΔV)计算公式:ΔV=1-ρ前/ρ后×100%。

1.5各组试件挠曲强度(flexuralstrength,FS)和弹性模量(elasticmodulus,EM)检测
    采用与甲基丙烯酸酯类单体不发生反应的聚四氟乙烯棒,将配制的树脂基质加入2mm×2mm×25mm的金属模具中制作试件(n=5),在试件的表面和底面分别采用聚脂薄膜覆盖,防止厌氧层的存在。可见光固化灯照射固化试件,从左向右重叠照射5个点,每个点光照20s以保证充分固化;然后将试件存放在37℃蒸馏水中,避光保存24h。采用万能试验机对试件进行三点弯曲实验检测FS和EM。按照ISO4049标准,加载速度为1mm·min-1,跨距为20mm,直至试件断裂,得到FS和EM。计算公式:FS=3F1l/2bh2,EM=Fl3/4bdh3,其中F为加载在试件上的载荷(单位:N),F1为在断裂点的最大载荷(单位:N),l为2支座间的距离(单位:mm),b为试件的宽度(单位:mm),h为试件的高度(单位:mm),d为与F相对应的挠度。

1.6各组试件维氏硬度检测
    将实验基质放入直径6mm,高度2mm的模具中,制备圆柱形试件(n=5),可见光固化灯光照20s。将试件存放在37℃蒸馏水中避光保存24h。采用维氏硬度仪对试件的表面硬度进行测试,加载力980mN,持续加载10s,直接记录数显硬度值。每一个试件测试3次,取其平均值。

1.7各组树脂基质双键转化率检测
    以KBr为背景,采用压片机将KBr粉末制成KBr透明薄片,用小毛刷将基质薄涂于KBr片上,采用FT-IR进行初次扫描,获得固化前的红外图谱;然后固化灯照射20s后再次进行扫描,得到固化后红外图谱(n=5)。反应体系中只有C=C双键发生聚合反应,采用峰面积法,以苯环大π键为内标(1609cm-1),计算C=C双键在峰值1638cm-1处吸光度(A)值的变化,即双键转化率,双健转化率=[1-固化后A(1638)值×固化前A(1609)值/固化前A(1638)值×固化后A(1609)值)]×100%。
1.8统计学分析
    采用SPSS21.0统计软件进行统计学分析。各组树脂基质体积收缩率,各组试件FS、EM和维氏硬度,树脂基质双键转化率,均符合正态分布,以-x±s表示,多组间样本均数比较采用单因素方差分析,组间样本均数两两比较采用LSD-t检验。以P<0.05表示差异有统计学意义。

2   结果与讨论

2.1IBGBMA的合成过程
    合成IBGBMA反应的第一阶段结束时,BPA的羟基与IPDI的-NCO基团反应,BPA的-OH峰消失;第二阶段,扩链剂BDO延长大分子链,交联剂TMP则使大分子具有更复杂的空间结构;最终阶段,HEMA的-OH与大分子链末端的-NCO反应,-NCO吸收峰消失,形成富含-NHCOO-基团并以C=C双键封端的反应性IBGBMA。在聚合反应中,IBGBMA末端的C=C双键可与树脂基质反应,形成稳定的化学键结合,短时间内即可固化。见图2。

聚氨酯凝胶预聚物对传统树脂基质体积收缩的影响及对其综合性能的改善作用

2.2各组试件性能检测结果
    10%、15%和20%IBGBMA实验组树脂基质固化后的体积收缩率均低于对照组(P<0.05),且随着IBGBMA添加量的增加,实验组树脂基质体积收缩率逐渐降低,组间比较差异均有统计学意义(P<0.05)。与对照组比较,20%IBGBMA实验组试件的FS和EM均降低(P<0.05),但其他各组间比较差异无统计学意义(P>0.05)。15%IBGBMA实验组试件维氏硬度较对照组明显增加(P<0.05),与5%IBGBMA实验组和10%IBGBMA实验组比较差异无统计学意义(P>0.05);20%IBGBMA实验组试件维氏硬度较对照组、5%IBGBMA实验组和10%IBGBMA实验组均明显增加(P<0.05),但与15%IBGBMA实验组比较差异无统计学意义(P>0.05)。与对照组比较,15%IBGBMA实验组和20%IBGBMA实验组树脂基质的双键转化率明显降低(P<0.05),且20%IBGBMA实验组树脂基质的双键转化率低于其他各组(P<0.05)。见表2。

聚氨酯凝胶预聚物对传统树脂基质体积收缩的影响及对其综合性能的改善作用

 

    光固化复合树脂具有美观、耐用和机械性能良好等优点,极大地满足了口腔患者和口腔医生对牙齿修复的临床需求。树脂基质作为复合树脂的主要组成部分,将各组成成分结合为一体,并对复合树脂的固化性能、可塑性及机械性能具有重要作用。在对复合树脂的改性研究中,预聚物的使用非常多见,但大部分为无机填料预聚物,一般是将无机物压碎并添加到树脂基质中。研究表明:在粘接剂中加入疏水性不同的凝胶预聚物,可改变湿粘接性能,明显增强粘接剂与牙本质微拉伸粘接强度;利用凝胶改性填料表面,在无机相和有机相之间形成一种应力降低结构,可溶胀的纳米凝胶充当了树脂和填料之间的过渡相,在聚合反应过程中缓冲释放聚合收缩应力,而不影响光固化复合树脂的双键转化率和机械性能。本实验中利用PU凝胶预聚物对传统树脂基质进行改性,使其与树脂基质成分发生化学反应,降低体积收缩的同时不影响复合树脂机械性能。

    有机高分子中官能团对聚合物的性能具有重要影响。BPA存在苯环结构,含有共轭双键体系,属于具有刚性平面结构的分子;而脂肪族化合物具有柔性。IBGBMA是一种由BPA和IPDI通过氨基甲酸酯键结构连接,并由HEMA封端形成的二甲基丙烯酸酯类大分子量单体,其本质属于聚氨酯低聚物。IBGBMA结构中含有苯环和环己烷结构,具有刚性结构特征,可赋予材料良好的机械性能,提高基质的强度。本研究中,各实验组随着IBGBMA添加量的增多,试件的维氏硬度也随之明显增强。

    IBGBMA分子间、IBGBMA与树脂基质间均存在大量氢键,静电作用下形成的氢键在聚合反应过程中可受力断裂,但仍可重新形成,对复合树脂聚合反应后的体积收缩和机械性能有重要影响。由于牙齿解剖结构和力的三维特性,复合树脂必须具有一定FS和EM,抵抗外界作用力导致的材料变形。三点弯曲实验仍是目前测量光固化复合树脂强度普遍使用的方法,以检测树脂是否达到临床应用标准。ISO4049标准中明确提出后牙充填应采用复合树脂,其FS不能低于80MPa。本研究中,添加5%、10%和15%IBGBMA组树脂基质(不含无机填料)制备的试件的FS、EM与对照组比较差异无统计学意义,各组FS均大于80MPa,可以预期添加无机填料后,复合树脂的整体机械强度还会升高。

    大分子IBGBMA预聚物末端的反应性C=C双键与基质单体形成化学结合,可减少单位体积内双键浓度,提高转化率;但另一方面,预聚物含量过多时,其在基质中的溶解性降低,使基质粘度增加,分子移动受限,导致发生反应的双键数量减少,双键转化率反而下降。本研究中,对照组、5%IBGBMA实验组和10%IBGBMA实验组间双键转化率比较差异无统计学意义;但当IBGBMA添加量增加到15%和20%时,双键转化率出现下降,未聚合分子存在析出的可能,影响树脂理化性能和生物安全性。

    本研究中体积收缩率检测结果显示:IBGBMA预聚物可以有效降低树脂基质体积收缩率。聚合收缩应力与聚合物性质和体积收缩率有关。而体积收缩率又与转化率和初始反应基团浓度有关。一方面,相对分子质量较大的IBGBMA预聚物通过降低传统Bis-GMA/TEGDMA含量,有效降低单位体积内可聚合反应碳碳双键的数量,从而降低基质体积收缩率;另一方面,利用聚氨酯弹性性能缓冲基质聚合反应时产生的收缩应力,而且在反应进程中延迟凝胶化转变,释放聚合收缩应力,故本研究中加入预聚体后各实验组树脂基质固化后的体积收缩率明显降低。

    PU的弹性性能可降低复合树脂的聚合收缩应力,ZHANG提出通过PU自身的弹性伸缩,缓冲树脂与牙体间由热膨胀系数的差异而产生的应力,减少继发龋和断裂的发生,提高复合树脂应用的稳定性和耐久性。

   MORAES利用甲基丙烯酸异丁酯(isobornylmethacrylate,IBMA)和二甲基丙烯酸氨基甲酸酯(urethanedimethacrylate,UDMA)合成了一种凝胶共聚物,在TEGDMA中添加40%的反应性共聚物可降低37%的体积收缩率。

    LIU等同样利用IBMA和UDMA,通过调整二者的比例,合成了多种凝胶共聚物,将其分散在TEGDMA中,证明均具有降低树脂基质体积收缩的能力。而本实验中的PU凝胶预聚物添加量在20%时,可降低Bis-GMA/TEGDM树脂基质的体积收缩率达46%(从7.41%±0.39%降至4.00%±0.48%)。与IBMA和UDMA比较,PU具于弹性的特点使其在降低树脂聚合收缩方面更有优势。研究表明:填料可明显降低复合树脂体积收缩。本实验中采用的是不含填料的树脂基质(Bis-GMA/TEGDMA)作为实验材料,以15%IBGBMA实验组为例,单纯树脂基质的体积收缩率为5.15%,而填料在复合树脂中的含量为35%~90%,假如当复合树脂中填料达到60%时,15%IBGBMA可使总体的体积收缩率降至2.06%以下。

 
3 结 论

综上所述,PU本身具有弹性伸缩性能,可缓冲牙本质-复合树脂界面应力;PU高分子凝胶预聚物作为可溶胀性次级单体和潜在反应性添加剂,可降低在聚合过程中产生的应力。本研究结果表明:15%IBGBMA实验组树脂基质的双键转化率虽少许下降,但试件的FS和EM并不受影响,维氏硬度得到增强,体积收缩率明显下降,因此反应性PU凝胶预聚物IBGBMA在不影响树脂机械性能的前提下,可降低树脂基质体积收缩。

 

 

聚氨酯凝胶预聚物对传统树脂基质体积收缩的影响及对其综合性能的改善作用

 

 

 

为方便阅读,本文移除了脚注。如有需要,请参阅《吉林大学学报》2021年7月第4卷第4期

  • 标签:
相关阅读

本站所有信息与内容,版权归原作者所有。网站中部分新闻、文章来源于网络或会员供稿,如读者对作品版权有疑议,请及时与我们联系,电话:025-85303363 QQ:2402955403。文章仅代表作者本人的观点,与本网站立场无关。转载本站的内容,请务必注明"来源:林中祥胶粘剂技术信息网(www.adhesive-lin.com)".

网友评论

©2015 南京爱德福信息科技有限公司   苏ICP备10201337 | 技术支持:建站100

客服

客服
电话

1

手机:18114925746

客服
邮箱

565052751@qq.com

若您需要帮助,您也可以留下联系方式

发送邮箱

扫二
维码

微信二维码