加载中...

点击这里给我发消息

QQ群:417857029

期刊专利论文

贻贝黏附蛋白型聚氨酯黏合材料的制备

来源:林中祥胶粘剂技术信息网2022年06月06日

阅读次数:

贻贝黏附蛋白型聚氨酯黏合材料的制备

成昭,张翊娟,程诗雅

(1.西安医学院 药学院,陕西 西安 710021
2.西安医学院 护理学院,陕西 西安 710021)

来源:弹性体  2022年2月 第32卷  第1期

摘要

基于生物来源黏合材料贻贝黏附蛋白的结构、进行材料结构设计,经 由 扩 链、偶 联 的 分 步合成,得到一种 MAP型聚氨酯黏合材料。以热失重分析、细胞毒性实验进行该黏合材料的初步性能评价,结果表明,该黏合材料聚合分布均匀、黏均相对分子质量为955,表现出良好的热稳定性以及对体外活细胞的低毒性,黏合材料质量浓度为4000μg/L时、对 ECV304细胞的24h增殖抑制作用低于30%,具有进一步应用于生物医学领域、进行快速黏合修复的良好前景。

关键词

黏合材料;优化;热稳定性;毒性

引言

人工合成材料的化学修饰与功能复合,是材料研发与应用领域的难点。人工材料的合成线路设计与合成条件优化可从两方面进行:一方面调控材料结构、简化合成步骤,增强人工合成材料结构的可修饰性;另一方面进行材料的功能性复合,同时,降低人工合成材料的细胞毒性及可能免疫应激反应,保证其生物亲合性能,这对于新型功能材料的研发工作意义重大。此外,相较于天然来源材料的复杂性与分离提纯难度,人工 合 成材料来源单纯,其结构与相对分子质量均处于一定的可调控范围,便于设计精准实验方案、系统考察合成材料的稳定性与毒性,建立仿生黏合材料在生命体 环 境 中 的 安 全 性 和 适 用 性 的 系 统 评 价参数。

1 实验

1.1 原料

    二丁基二月桂酸锡(DBTL):分析纯,国药集团化学试剂有限公司;聚丙二醇400(PPG400)、异佛 尔 酮 二 异 氰 酸 酯 (IPDI)、二 羟 甲 基 丙 酸(DMPA)、N,N′-二环己基碳二亚胺(DCC)、多巴胺盐酸盐、N,N′-二 甲 基 甲 酰 胺(DMF)、三 乙 胺、二甲基亚砜(DMSO):分析纯,阿拉丁试剂有限公司。上述市售试剂均经过除水等预处理,具体方法为:PPG400、DMPA 于100℃下减压干燥3h;DMF以干燥剂无水硫酸钠进行初步无水处理,再经 90℃ 减 压 蒸 馏,加 入 4Å 分 子 筛 (孔 径 为0.4nm),待用;三乙胺以干燥剂无水硫酸钠进行初步无水 处 理,再 经 常 压 蒸 馏,加 入 4Å 分 子 筛(孔径为0.4nm),待用。

1.2 仪器及设备

    傅里叶变换红外分光光度计:TENSORT-27,德国 BRUKER 公 司;超 导 核 磁 共 振 波 谱 仪:AVANCE Ⅲ400MHz,德国 BRUKER 公司;凝胶渗透色 谱 仪:PL-GPC50,美 国 AgilentTechnologie公 司;热 失 重 分 析 仪:PE-TGA7,美 国 PerkinElmer公 司;多功能酶联免疫检测仪:1510MwltiskanGo,美国 ThermoFisher公司。

1.3 合成制备

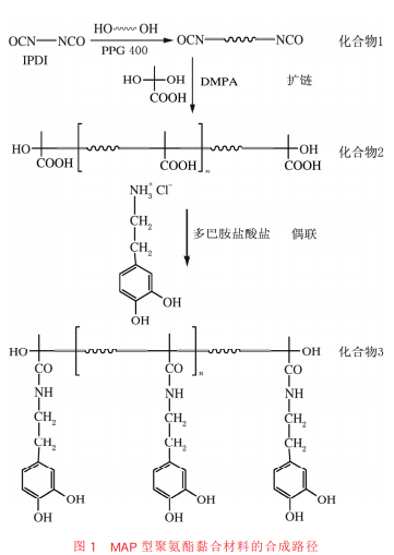
    为了加强合成材料的化学修饰性,目标 MAP型聚氨酯黏合材料以扩链与偶联为主要合成步骤进行分段调控法合成,引入邻二酚黏合单元。先,初步保证该合成材料的低毒性及生物相容性;其次,使人工黏合材料未来研发工作中的分节点合成与功能化修饰进一步成为可能。

    目标聚氨酯黏合材料设计扩链、偶联 两 步 合成路径(见图1):1)以IPDI与PPG400为初始原料,得 到 聚 氨 酯 预 聚 物(化 合 物 1),再 经 扩 链 剂DMPA、缩合剂 DCC 与 催 化 剂 DBTL 共 同 作 用于扩链步骤,得到聚氨酯预聚物扩链产物(化合物2);2)为了进一步改善目标材料的聚合性能及相对分子质量分布,在平均相对分子质量较小的扩链产物结构基础上,通过功能修饰调控与邻二酚黏合单元接 入,合 成 得 到 目 标 MAP 型 聚 氨 酯 黏合材料(化合物3)
    (1)化合物1:聚氨酯预聚物的合成将IPDI、PPG400(物质的量比为2:1.2)与适量溶剂 DMF混 合 均 匀,氮 气 保 护 反 应6h,经减压蒸馏,得到无色至浅黄色油状物的聚氨酯预聚物,即 PPG400-IPDI(化合物1)。

    (2)化合物2:聚氨酯预聚物扩链产物的合成作为高分子材料扩链与枝节化的关键步骤,扩链剂 DMPA 与催化剂 DBTL的反应投入量对聚氨酯预聚物扩链合成步骤具有重要意义。为了筛选 最 优 条 件,调 控 化 合 物 1、DMPA 与 DBTL物质的量比分别为1:1:0.2、1:2:0.2、1:2:0,合成得到三种不同投料比的预聚物扩链产物 P1、P2、P3。经后续的偶联反应得到三种终产 物,即分别以 P1、P2、P3衍生修饰的黏合材料。进行三种黏合材料的红外光谱与核磁共振氢谱测定,结合光谱结果,分析以 P1、P2、P3衍生修 饰 的 三 种黏合材料的枝节率水平与扩链程度,考察 DMPA与 DBTL 两 种 关 键 反 应 物 对 预 聚 物 扩 链 反 应 的影 响,进 而 确 定 最 优 反 应 投 料 比 为 化 合 物 1、DMPA 与 DBTL物质的量比为1:2:0.2。根据上述反应物投料比筛选的最优条件,将步骤(1)得到 的 化 合 物1、DMPA、DBTL(物 质 的量比为1:2:0.2)与适量溶剂 DMF 混合均 匀,氮气保护反应3h,得到无色至浅黄色油状物的聚氨酯预聚物扩链产物,即化合物2。(3)化 合 物 3:MAP 型 聚 氨 酯 黏 合 材 料 的合成将步骤(2)得 到 的 化 合 物2、DCC、多 巴 胺 盐酸盐、三乙胺(物质的量比为1:0.12:1:0.1)与适量溶剂 DMF混 合 均 匀,氮 气 保 护 反 应8h,得到粗产物沉淀,进行粗产物沉淀酸洗、透析,得到浅黄色油状 物 的 MAP 型 聚 氨 酯 黏 合 材 料,即 化合物3。

 

贻贝黏附蛋白型聚氨酯黏合材料的制备

 

2   结果与讨论
 

2.1 MAP型聚氨酯黏合材料的结构表征

2.1.1 红外光谱对材料枝节率水平的反映

    将以 P1、P2衍生修饰的两种黏合材料分别进行 KBr压片与红外光谱测定,得到其红外吸收光谱,如图2所示。其中,3475cm-1处酚羟基与1645cm-1处酰胺键的特征吸收峰说明聚氨酯材料侧链已成功接入了邻二酚黏合单元。

 

贻贝黏附蛋白型聚氨酯黏合材料的制备

 

    同时,红外光谱出峰强度也具有定量意义,能在一定程度上反映黏合材料聚氨酯侧链中黏合单元多巴胺的引入量以及材料枝节率水 平。P1与P2分 别 由 化 合 物 1、DMPA、DBTL 物 质 的 量 比1:1:0.2与1:2:0.2得 到,再 经 偶 联 修 饰 后,得到以 P1、P2衍生修饰的两种黏合材料,对比两种黏合材料红外光谱特征峰的出峰强度,可知扩链剂 DMPA 的用量加倍时,材料枝节率水平得到明显提高。

2.1.2 核 磁 共 振 氢 谱 对 催 化 剂 影 响 扩 链 反 应 的判断

    合成聚氨酯预聚物扩链产物(化合物2)的扩链步骤中,为了确定催化剂 DBTL对目标聚氨酯黏合材料扩链程度的影响,设计催化剂加入与未加入两条合成路径,分别得到 P2与 P3两种聚氨酯预 聚 物 扩 链 产 物,经由后续偶联反应,得 到 以P2、P3衍生修饰的两种黏合材料,将其分 别 标 注为(PPG400-IPDI)-DMPA+DBTL(P2)、PPG400-IPDI)-DMPA(P3)。测定上述两种黏合材料1HNMR(DMSO-d6,TMS),得 到 如 图3所 示的核磁共振氢谱,特征氢的化学位移(δ)见图3中的归属及标注。

    图3中,δ=7.82与3.60分别对应于羧基与酚羟基中活泼氢的特征位移,说明聚氨酯预聚物扩链产物与多巴胺盐酸盐的反应已在聚氨酯材料侧链成功接 入 邻 二 酚 黏 合 单 元。此 外,对 比 图3(a)与(b)两个系列的谱线,即以 P2及 P3衍生修饰的两种黏合材料,在保持两组谱线1HNMR 测样量一致时,扩链反应中加入催化剂 DBTL、再经后续偶联反应,得到的(PPG400-IPDI)-DMPA+DBTL(P2),其特征氢的谱线强度均有显著增强。经1HNMR测试,证明催化剂 DBTL能显著提高目标 MAP型聚 氨 酯 黏 合 材 料 的 枝 节 率,从 而 进一步影响材料性能。

贻贝黏附蛋白型聚氨酯黏合材料的制备

 

 

    综合红外与核磁谱图分析结果可以看出,相较于 P1、P3,以最优反应投料比得到的聚氨酯预聚物扩链产物 P2为 基 础 合 成 的 MAP 型 聚 氨 酯黏合材料,表现较高枝节率与扩链程度,因此对该黏合材料进行进一步的相对分子质量分布测定、热稳定性与安全性分析。

2.1.3 凝胶渗透色谱对材料相对分子质量分布的反映
    以 DMF为 流 动 相,聚 苯 乙 烯 为 标 准 聚 合 物(温度为40℃,流速为1.0mL/min),合成得到的MAP型聚氨酯黏合材料经凝胶渗透色谱(GPC)测定,得到聚合材料的相对分子质量分布,如图4和表1所示。

 

贻贝黏附蛋白型聚氨酯黏合材料的制备

 

 

贻贝黏附蛋白型聚氨酯黏合材料的制备

 

 

    由表1中的 Mw/Mn=1.02132可知,多分散指数接近于1,表 明 所 合 成 的 高 分 子 聚 氨 酯 黏 合材料聚合分布均匀,其 Mv 为955。

2.2 MAP型聚氨酯黏合材料的热稳定性与安全性评价

2.2.1 热稳定性

    40~800℃温度范围内,进行所合成 MAP型聚氨酯黏合材料的热失重分析(氮气环境,升温速率为20℃/min,样品用量为5mg),得 到 其 热 重分析曲线,如图5所示。

 

 

贻贝黏附蛋白型聚氨酯黏合材料的制备

 

 

    由图5可知,合成的聚氨酯黏合材料表现良好的热稳定性,热失重趋势平滑、曲线连续,与弹性体的 热 稳 定 性 具 有 相 似 之 处
    聚 氨 酯 合成材料具有两个热失重阶段,分别为150~250℃软段热失重与250~320℃硬段热失重,其中,软段失重因IPDI和 DMPA 分解 而 产 生,硬 段 失 重因 PPG400分解而产生。

2.2.2 细胞毒性

    以四氮唑蓝比色法(MTT)评价所合成 MAP型聚氨酯黏合材料的细胞毒性,得到聚氨酯合成材料对体外活 细 胞 的 增 殖 抑 制 作 用 曲 线,如 图6所示。在温度 为37℃、CO2 含 量 为5%(体 积 分数)、湿度为90%的条件下,将所合成聚氨酯黏合材料的 DMF溶液加入培养24h的人脐静脉内皮细胞(EVC304)中,进 行 目 标 材 料 的 质 量 浓 度 梯度分组,使各组聚氨酯黏合材料的最终质量浓度分别为125、250、500、1000、2000、4000μg/L,每组质量浓度设6个平行孔,对照组加入等体积溶剂。加样后,于上述条件下继续培养24h,每孔加入20μL 四 氮 唑 蓝 溶 液 和 180μL 培 养 液,培 养4h。移去上清 液,每 孔 再 加 入 DMSO150μL,充分震荡后测定490nm 处吸光度,计算 MAP型聚氨酯黏合材料对 EVC304细胞的24h增 殖抑制率:细胞增殖抑制率=(1-吸光度实 验 组/吸光度对 照 组 )×100%,得到细胞增殖抑制曲线,如图6所示。

 

贻贝黏附蛋白型聚氨酯黏合材料的制备

 

    由图6可以看出,MAP型聚氨酯黏合材料对EVC304细 胞 表 现 低 毒 性。聚 氨 酯 合 成 材 料 在ECV304细胞中的增殖抑制作用随自身浓度增加而增大,就其浓度增幅的整体趋势而言,聚氨酯合成材料呈现低毒性

3 结 论
 

    (1)基于 MAP结构中邻二酚功能片段的 黏合机制,进行聚氨酯材料的功能化修饰,合成得到MAP型聚氨酯黏合材料。

    (2)合成 得 到 的 MAP型 聚 氨 酯 黏 合 材 料 聚合分布均匀,多分散指数接近于1,Mv为955,热失重曲线连续,热稳定性良好,温度高于150℃时出现热失重。

    (3)所合 成 的 MAP 型 聚 氨 酯 黏 合 材 料 对 体外活细胞表现低毒性,黏合材料质量浓度为4000μg/L时,其对 ECV304细 胞 的24h增 殖 抑 制 作用低于30%,具有进一步应用于生物医学领域的良好前景。

  • 标签:
相关阅读

本站所有信息与内容,版权归原作者所有。网站中部分新闻、文章来源于网络或会员供稿,如读者对作品版权有疑议,请及时与我们联系,电话:025-85303363 QQ:2402955403。文章仅代表作者本人的观点,与本网站立场无关。转载本站的内容,请务必注明"来源:林中祥胶粘剂技术信息网(www.adhesive-lin.com)".

网友评论

©2015 南京爱德福信息科技有限公司   苏ICP备10201337 | 技术支持:建站100

客服

客服
电话

1

手机:18114925746

客服
邮箱

565052751@qq.com

若您需要帮助,您也可以留下联系方式

发送邮箱

扫二
维码

微信二维码