加载中...

点击这里给我发消息

QQ群:417857029

期刊专利论文

DSD 酸改性水性聚氨酯印花粘合剂的制备及性能研究

来源:林中祥胶粘剂技术信息网2022年07月15日

阅读次数:

DSD 酸改性水性聚氨酯印花粘合剂的

制备及性能研究

赵艳娜,赵娇妹,张婷

陕西科技大学 化学与化工学院,陕西 西安 710021

来源:山东化工   2022年   第51卷  第3期

摘要

在水性聚氨酯分子链中化学键合荧光单体 4,4'-二氨基二苯乙烯-2,2'-二磺酸( DSD酸) ,制备了一种荧光功能聚氨酯水基粘合剂。通过 FT-IR、荧光光谱和接触角测试对聚氨酯进行了结构和性能分析。将其作为印花粘合剂,测定了印花后的摩擦牢度、皂洗牢度、手感等指标。结果表明: 在焙烘温度 150℃,时间100s,粘合剂20%,增稠剂 4%时,印制的产品手感柔软,其干湿摩擦牢度均可达到4级和 2级,皂洗牢度为4级。

关键词

印花粘合剂; 荧光性能; 水性聚氨酯

引言

本文以 IPDI、PCL1000为主要原料,在聚氨酯分子链中化学键合荧光单体4,4' -二氨基二苯乙烯- 2,2' -二磺酸( DSD酸) ,以 2,2-二羟甲基丙酸( DMPA) 为亲水扩链剂,采用阴离子自乳化法,制得一系列乳液型蓝色荧光的聚氨酯( Fluorescencewaterborne polyurethane,SWPU) 水基印花粘合剂。

1 实验

1.1 主要原料

    聚己内酯二醇( PCL,Mn=1000) ,济宁佰一化工有限公司;异佛尔酮二异氰酸酯( IPDI) ,拜耳有限公司; 4,4'-二氨基二苯乙烯-2,2'-二磺酸( DSD 酸) ,上海金锦乐实业有限公司; 2,2-二羟甲基丙酸( DMPA) ,济宁三石生物科技有限公司; 二月桂酸二丁 基 锡 ( DBTDL) ,济宁宏明化学试剂有限公司; 三 乙 胺( TEA) ,天津市天力化学试剂有限公司; N - 甲基吡咯烷酮( NMP) ,中国石化北京燕山化工有限公司; 三 羟甲基丙烷( TMP) ,以上均为分析纯。纯棉左斜漂白布,8303 翠兰 FGB( 郑州兰天化学试剂厂) 。

1.2 实验方法

1.2.1 荧光水性聚氨酯乳液( SWPU) 的制备

    将IPDI、PCL-1000、DMPA 加入到装有冷凝管和搅拌器的250mL三口烧瓶中,再滴入少量DBTDL作为催化剂,以NMP为溶剂,恒温水浴中加热至80℃,反应2h后,加入DSD酸进行扩链,最后加入交联剂三羟甲基丙烷(TMP) ,形成交联网络。采用二正丁胺法测定异氰酸酯基指数R( 即NCO物质的量占总羟基物质的 量的百分数) ,在R值恒定后,用有机碱三乙胺(TEA) 作为中和剂,继续反应05h,得到预聚体,加入温度为40℃的去离子水高速搅拌,得到固含量为30%的半透明、泛蓝光乳液。

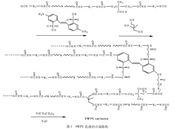
    乳液配比:n(IPDI)∶n(PCL-1000)=2∶1,ω(DMPA)=5%,ω(TMP)=0.5%,ω(DSD酸)=0%~5%。合成路线见图 1。

 

DSD 酸改性水性聚氨酯印花粘合剂的制备及性能研究

 

1.2.2 印花工艺

    8303翠兰4%,改性水性聚氨酯粘合剂20%,增稠剂4%,尿素01%,去离子水。调浆→印花→预烘( 80℃,3min) →烘焙( 150℃,100s) 。

1.3 结构表征与性能测试

1.3.1 红外光谱测试

    利用VECTOR-22型傅里叶变换红外光谱仪( 德国Bruker公司) ,采用溴采用 ATR-FTIR方法,将水性聚氨酯乳液成膜,烘干后直接用于测试,记录500~4000cm-1的红外吸收光谱。

1.3.2 荧光性能测试

    采用 FluomMax4P荧光光谱仪( 日本HORIBA·Scientific公司) ,将SWPU胶膜裁剪成直径1cm的圆形,用于激发光谱和发射光谱测定,单色仪狭缝宽度5nm。

1.3.3 接触角测试

   采用Easy Drop 视频光学接触角测试仪( 德国 KRUSS 公司) ,将乳胶膜在40℃ 真空干燥箱中干燥至恒重,用蒸馏水测试,测试温度为( 25±2)℃,相对湿度65±2%,重复测量三次,取平均值。

1.3.4 印花性能测试

    干湿摩擦色牢度测试仪,JEM-200CX 型( 日本电子公司) ,按照 GB/T3920—2008标准进行测定,Y571L摩擦牢度测试仪( 山东莱州电子仪器有限公司) ,平网印花机 ( 天津华谱合力) ,皂洗牢度按GB251—1995进行评级; 手感: 由10位实验室人员用手触摸评定打分,取平均值,分1~5级,5级最好,1级最差。

2   结果与讨论
 

2.1 DSD 酸改性荧光水性聚氨酯的结构和性能表征

2.1.1 DSD 酸改性荧光水性聚氨酯的红外光谱

    图2为DSD酸和改性水性聚酯( SWPU) 胶膜的红外光谱图。DSD酸曲线中3134cm-1处的双峰为分子伯胺基的 N-H键的伸缩振动吸收峰,SWPU曲线中3346cm-1仍处有N-H伸缩振动吸收峰,说明氮上仍然有未反应完的氢原子,可能因为空间位阻致使剩余氢反应活性降低,1724cm-1处有 C=O伸缩振动吸收峰,这是因为异氰酸酯基与胺基活泼氢反应生成了氨基甲酸酯,2270cm-1左右未出现 N=C=O的吸收峰,说明—N=C=O与体系中的 O-H 或N-H发生了加成反应。

 

2.1.2 不同质量分数的 DSD 酸的 SWPU 胶膜的接触角分析

    图3为不同质量分数DSD酸的SWPU胶膜对水接触角的测试结果。图中(a) 、(b) 、(c) 、(d) 、(e) 、(f) 分别对应为DSD酸质量分数为0%,1%,2%,3%,4%,5%时胶膜对水接触角。果表明,随着DSD酸质量分数的增加,改性聚氨酯胶膜对水接触角呈现增大的趋势,这表明DSD酸的加入能明显的改善胶膜的耐水性,原因为DSD酸分子中含有对称的苯环结构,此类刚性基团的引入,会使分子链排列更为规整,胶膜更加致密。

 

 

2.1.3 不同质量分数的DSD酸的SWPU胶膜的荧光光谱分析

    图4为不同质量分数DSD酸的SWPU胶膜的荧光光谱图,ω(DSD酸)=2%时,荧光强度最强,当用量超过2%时,荧光强度随着DSD酸质量分数的增加而降低,即聚氨酯乳液存在浓度猝灭。这是因为当DSD酸质量分数增加到一定值时,分子链中的荧光基团碰撞几率增大,形成分子间络合物,导致荧光强度降低( 浓度猝灭) 。通过在聚氨酯分子链中嵌入荧光基团,减少了荧光基团之间的相互碰撞而产生荧光猝灭的几率,可以提高其量子产率,吸收300~400nm的近紫外光,之后以400~500nm蓝色光的形式释放出来,抵消纤维原有的黄色,以达到增白的效果。

 

 

2.2 应用性能

2.2.1 DSD 酸用量对粘合剂性能的影响

    表1为不同DSD酸用量水性聚氨酯粘合剂的性能。
 

  

    从表1可以看出,随着DSD酸用量增加,织物的干摩擦牢度增加,湿摩擦牢度先增加后减小,织物手感逐渐降低,皂洗牢度先增加后减小,这是因为DSD酸分子中具有对称的苯环,链段排列较为规整,刚性增加,引起分子间形成硬相微区,强度和硬度提高。但是磺酸基亲水性较强,湿摩擦时,在水的作用下,粘合剂发生溶胀,使薄膜的附着力下降。

2.2.2 粘合剂的荧光效果

    为了进一步研究粘合剂的荧光效果,将去除色浆的涂料涂布于棉布上,观察其荧光效果见图 5。

 

 

    这是因为( DSD 酸) 分子内含有共轭双键,呈平面结构,当分子被紫外光激发,电子从基态跃迁到激发态,然后在极短时间内又回到基态,此过程可放出波长为 420~450nm的可见蓝紫色荧光。将DSD酸荧光基团嵌入聚氨酯链段,通过增加蓝色光线的反射,弥补蓝光缺损形成的泛黄,达到增强白度和亮度的目的。

3 结 论

    (1) 荧光光谱、接触角测试结果表明,DSD酸已被引入到WPU分子链中; 随着DSD酸质量分数的增加,荧光聚氨酯的结晶性减弱,接触角增大; 在ω(DSD酸) =2%的条件下合成的SWPU水性聚氨酯,荧光强度最大432181.97。

    (2) 以DSD酸为扩链剂制备了荧光功能涂料印花粘合剂,当ω(DSD酸)=2%时涂料印花综合性能较好。

  • 标签:
相关阅读

本站所有信息与内容,版权归原作者所有。网站中部分新闻、文章来源于网络或会员供稿,如读者对作品版权有疑议,请及时与我们联系,电话:025-85303363 QQ:2402955403。文章仅代表作者本人的观点,与本网站立场无关。转载本站的内容,请务必注明"来源:林中祥胶粘剂技术信息网(www.adhesive-lin.com)".

网友评论

©2015 南京爱德福信息科技有限公司   苏ICP备10201337 | 技术支持:建站100

客服

客服
电话

1

手机:18114925746

客服
邮箱

565052751@qq.com

若您需要帮助,您也可以留下联系方式

发送邮箱

扫二
维码

微信二维码