加载中...

点击这里给我发消息

QQ群:417857029

期刊专利论文

多重修复含氟聚氨酯的制备及响应型行为

来源:互联网2022年12月30日

阅读次数:

摘要

为了改进传统自修复聚氨酯材料修复手段单一以及室温下难以修复等问题,文中以自制端羟基含氟多元醇 (FE-OH)、聚四氢呋喃二醇(PTMEG)为软段,异氰酸酯(IPDI)为硬段,胱胺(CM)和4-甲基伞形酮(4-MU)分别为扩链 剂和封端剂,以聚吡咯修饰碳纳米管(PPY/CNTs)为光热转换导电助剂,制得可光热修复含氟聚氨酯导电弹性体 (CFPU)。通过红外光谱、拉曼光谱等对CFPU结构进行了表征,通过光学显微镜、3D轮廓仪等研究了CFPU的自修复 性能,通过接触角测量仪研究了CFPU的疏水性能,通过数字万用表、电化学工作站研究了CFPU的导电性和理化响应 性。结果表明,CFPU在室温(25 ℃)和不同波长光照条件下均具备优良的自修复性能,当PPY/CNTs添加量为25% (CFPU1)时,材料力学性能、疏水性等综合性能最优,且表现出良好的温度及化学环境响应性。该材料在医疗诊断、电 子皮肤等领域具备潜在的应用前景。

关键词
聚吡咯;碳纳米管;含氟聚氨酯
光热修复;理化响应性
引言

本文将 FE-OH,CM 及 4-MU 引入聚氨酯体系, 制备了含氟多元醇(FPU)。再将不同含量的 PPY/ CNTs 作为导电助剂和光热转换剂与 FPU 进行混合, 制备了一系列含氟导电弹性体 CFPU,使得 CFPU 可 实现加热及全波段光照下的自修复功能,疏水性和 力学性能也得到一定提升,同时材料可表现出良好 的温度及化学环境响应性,得到了具备环境响应性 的光热修复含氟聚氨酯材料。

1 实验

1.1 试剂与仪器
    聚四氢呋喃(PTMEG):Mn=1000,分析纯,阿拉 丁试剂有限公司;含氟二元醇(FE-OH):Mn=6000, 自制 ;异佛尔酮二异氰酸酯(IPDI)、N,N-二甲基甲 酰 胺(DMF)、4- 甲 基 伞 形 酮(4-MU)、过 硫 酸 铵 (APS)、吡 咯(PY)、十 六 烷 基 三 甲 基 溴 化 铵 (CTAB):分 析 纯 ,阿 拉 丁 试 剂 有 限 公 司 ;二 月 桂 酸二丁基锡(DBTDL):分析纯,北京正恒化工有 限公司;胱胺(CM):自制[16] ;羟基化多壁碳纳管:直径 10~30 nm,长度 20~30 m,南京先丰纳米有限 公司;盐酸(HCl):分析纯,北京益利精细化学品有 限公司。紫外灯:254/50 W,深圳百盈光电有限公司;超 声波清洗机:PS-20,深圳市深华泰超声 洗净设备有 限公司;高速离心机:H2350,湖南湘仪实验室仪器 开发有限公司;平板硫化机:XLB-D 350*350*2,常 州市第一橡胶设备有限公司;万能试验机:WDT30,深圳凯强利实验仪器有限公司;差示扫描量热 仪:DSC204F1,德国耐驰公司。
1.2 FPU 的制备
    分 别 取 6.00 g PTMEG( 羟 值 为 100~120 mg KOH/g 之间;Mn=1000)和 2.00 g FE-OH(Mn=6000)于 100 mL 三口烧瓶中,在 100 ℃真空烘箱中进行 3 h 脱水处理;氮气保护下加入 4.00 g IPDI,再加入溶于 1 mLDMF 的 0.024 g DBTDL,80 ℃反应 2 h 得到聚 氨 酯 预 聚 体 。加 入 溶 于 1 mLDMF 的 0.91 g CM, 45 ℃反应 1 h 进行扩链;再加入溶于 2 mL DMF 的 2.11 g 4-MU,40 ℃反应 1 h 封端;反应结束后将聚氨 酯产物缓慢倒入模具中,产物为淡黄色黏稠液体, 产率 92%;80 ℃固化 48 h,得到具备光热双重修复 功能的 FPU。反应流程如 Fig.1 所示

 


1.3 PPY/CNTs 的制备
    在 100 mL 三口烧瓶中加入 0.11 g 羟基化多壁碳 纳 米 管(直 径 10~30 nm,长 度 20~30 m)和 50 mL HCl(0.5 mol/L),将其在双频超声波清洗器中超声0.5 h,然后将三口烧瓶置于装有磁力搅拌装置的冷 阱中,于 0 ℃搅拌 10 min,再加入 1.028 g APS,反应 10 min 后添加 0.6044 g 表面活性剂 CTAB,继续反应 10 min,再逐滴滴加 1.2088 g PY,反应 24 h。反应结 束后,用去离子水将产物洗涤至中性,抽滤除去溶 剂,产物在 65 ℃真空烘箱中放置 12 h,得到 PPY/ CNTs,产率 89%。

 

1.4 CFPU 的制备
    在干燥烧杯中,将 5 g FPU 溶于 10 mL DMF 中, 加入不同质量分数(0%,25%,35%,45%,55%)的 PPY/CNTs,在双频超声波清洗器中超声分散 2 h,然 后将混合溶液倒入直径为 80 mm 的培养皿中,在 80 ℃鼓风烘箱中干燥 16 h 除去溶剂后,剥离得到一 系列不同 PPY/CNTs 含量的 CFPU,结构如 Fig.2 所 示。试样配比如 Tab.1 所示。
1.5 测试与表征
    1.5.1 红外光谱(FT-IR)分析:采用 Nicolt A vatar370 (is10)傅里叶变换红外光谱仪。扫描次数 16 次,分 辨率为 4 cm-1 ,扫描范围 400~4000 cm-1 。
    1.5.2 激光拉曼光谱仪分析(Raman):使用深圳三 莉科技有限公司的 inVia Reflex 激光拉曼光谱仪对 PPY/CNTs进行结构表征。
    1.5.3 光学显微镜(OM):使用 SK2610B 型光学显微镜(深圳赛克数码科技开发有限公司)对 CFPU 膜 进行观察。
    1.5.4 扫描电子显微镜(TEM):采用 JSM-6360 型 SEM(日本电子株式会社)对CFPU进行观察。
    1.5.5 拉伸性能测试:拉伸性能测试在万能材料试 验机上进行。样品执行国家标准 GB/T528—2009, 拉伸速率为 50 mm/min,测试温度为 25 ℃。
    1.5.6 导电性测试:使用型号为 VC9808 的数字万用 表测试样的电阻值。
    1.5.7 3D 光学干涉仪:使用 Bruker3D 光学干涉仪 (香港嘉华科技有限公司)对 CFPU 进行观察。
    1.5.8 电化学工作站:使用型号为 CHI660E 的电化 学工作站对 CFPU 的化学响应性进行测试。测试时 采用计时电流法。
    1.5.9 自修复效率计算:使用万能材料试验机对一 系列 CFPU 进行拉伸全切修复测试时,将修复后样 条的拉伸强度(S2)与原始样条的拉伸强度(S1)之比 作为 CFPU 的自修复效率(E),如式(1) E = S2 S1 (1)

2   结果与讨论
 

2.1 CFPU 的结构表征及形貌观察
    2.1.1 FPU 的结构表征:为了验证氟单体是否成功 引入到聚氨酯基体,FPU 是否反应完全,对 FPU 的 原料及产物进行 FT-IR 分析。红外谱图如 Fig.3 所 示,原料 FE-OH 在 875 cm-1 ,1125 cm-1 及 3300 cm-1 左 右出现—CF2—,—CF3和—OH 的特征峰;PTMEG3600 m-1 左右出现—OH 特征峰;IPDI 在 2270 cm-1 处 出现其—NCO 特征峰;扩链剂 CM 在 3100 cm-1 ,650 cm-1 处分别出现其—NH3 及—S—S—的特征峰;封 端剂 4-MU 在 3300 cm-1 和 1620 cm-1 处分别出现了其 —OH 及苯环的特征峰。

 

 

    产物 FPU 在 2247 cm- 1 处的—NCO 特征吸收峰 完全消失,且在 3331 cm- 1 处出现了氨基甲酸酯中 N—H 键的特征吸收峰,1704 cm-1 处出现了氨基甲 酸酯上的羰基(—C=O)特征吸收峰,表明异佛尔酮 二异氰酸酯与多元醇反应完全,产物具有聚氨酯的 典型特征结构。同时,产物在 1224 cm-1 和 821 cm-1 处分别出现了—CF2—和—CF3特征吸收峰,表明氟 被成功引入到聚氨酯体系中,FPU 成功制备。

 

 

    2.1.2 PPY/CNTs 的结构表征:为了表征 PPY/CNTs 的结构,对产物及原料羟基化 CNTs 的红外谱图进 行对比。Fig.4 为羟基化 CNTs 和 PPY/CNTs 的红外 光谱图。由二者的红外光谱图对比可知,产物 PPY/ CNTs 在 943 cm-1 处出现了很强的=CH—面内弯曲振 动峰,1076 cm-1 处出现了很强的 N—H 弯曲振动峰, 1275 cm-1 为 C—N 的伸缩振动峰,1425 cm-1 为吡咯环 对称伸缩振动峰,上述 4 处特征峰为聚吡咯的典型 伸缩振动峰,与其他文献所报道的聚吡咯特征峰基 本一致。由此可以证明 PPY/CNTs 的成功制备。红外光谱中聚吡咯特征峰的出现已经初步说明了 PPY/CNTs 的成功制备,为了进一步对其结构进 行表征,本文对产物进行了拉曼光谱分析。Fig.5 为 羟基化 CNTs 和 PPY/CNTs 的拉曼光谱图。由拉曼光 谱图可知,原料羟基化 CNTs 与产物 PPY/CNTs 均在 1570 cm-1 处出现了 G 峰,对应高有序性和高对称性 单晶石墨引起的剪切变形特征峰,1340 cm-1 处出现 的 D 峰对应无定形石墨引起的剪切变形特征峰。产物 PPY/CNTs 在 1566 cm-1 处出现了吡咯环的 C=C 特征峰,1315 cm- 1 处出现吡咯环的 C—C 特征峰, 1040 cm-1 为吡咯环的 C—H 特征峰,986 cm-1 处出现 了吡咯环的特征峰。拉曼光谱结果进一步证明了 PPY-CNTs 的成功制备。

 

 

 

    2.1.3 PPY/CNTs 的形貌:由红外光谱和拉曼光谱结 果已说明 PPY/CNTs 的成功合成,为了进一步观察 PPY/CNTs 的 表 观 形 貌 ,对 其 进 行 扫 描 电 镜 测 试, Fig.6(a)和 Fig.6(b)为 PPY 修饰前后羟基化 CNTs 的扫 描电镜图。由图中对比可以明显观察到,PPY 修饰 后的羟基化的 CNTs 表面包裹着大量絮状物,形成 了 PPY/CNTs 特殊的“ 表面絮型柱状” 结构,进一步 说明了 PPY/CNTs 的成功合成。
2.2 CFPU 的疏水性能
    普通聚氨酯材料疏水性能较差,引入氟之后, 由于氟的原子半径极小,电负性极大,相邻氟原子 相互排斥,将使得 FPU 疏水性能增强。本文将疏水 FPU 与 PPY/CNTs 进 行 混 合 制 备 了 导 电 弹 性 体CFPU,为了测试 CFPU 中 PPY/CNTs 的含量对 CFPU 疏 水 性 的 影 响 ,对 CFPU 进 行 了 水 接 触 角 测 试 。Fig.7 为加入不同含量 PPY/CNTs 的 CFPU 的接触角 测试图。由 Fig.7 可知,随着 PPY/CNTs 含量的增多, CFPU 的 接 触 角 随 之 增 大 。水 接 触 角 从 86° (CFPU0)增大到 120°(CFPU3),展现了较强的疏 水性。

 

 

    自然界中荷叶表现出“ 永不湿润” 或“ 极度干 燥” 的特性。在不湿润的情况下,水可以在叶子的 外表面自由滚动,水滴表现出近乎球形,这是由于 荷叶表面微纳米级别的茸毛和微小的蜡质颗粒形 成的突起将水珠托起,使水珠仍然保持球体。与荷 叶类似,CNTs 也具有纳米空间骨架,纳米尺寸突起 结构能增加其表面粗糙度。因此,当 CFPU 中 PPY/ CNTs 含量增加时,材料的疏水性显著增强。
2.3 CFPU 的力学性能
    FPU 由于含氟多元醇软段 FE-OH 的加入,进一 步增强了材料的韧性及延展性。为了研究光热转 换导电助剂 PPY/CNTs 的添加量对 CFPU 力学性能 的影响,将 CFPU 用裁刀制成哑铃型标准样条(长20 mm×宽 4 mm),用万能拉伸试验机对其进行力 学性能测试。测试结果如 Fig.8(a)所示,CFPU0 拉伸 强度较低,断裂伸长率极大,具有优良的延展性,当 添加导电粉 PPY/CNTs 后,随着 PPY/CNTs 含量的增 加,拉伸强度及弹性模量先增大后减小,当 PPY/ CNTs 添加量为 25%时,CFPU 中 CNTs 含量适中,可 形成导电网络结构,该网络具有一定的强度和韧 性,因此其拉伸强度及弹性模量较大。PPY/CNTs 添 加量超过 25%之后,由于添加过量,大量 CNTs 在复 合体系中充当刚性填料,使得 CFPU 脆性增大,韧性 降低,拉伸强度、弹性模量及断裂伸长率变小。材料的自修复测试一般分为划痕修复测试与全 切修复测试。本文通过全切修复前后 CFPU 的应 力-应变曲线及修复前后拉伸强度的比值对其全切 自修复性能进行对比。将试样在全切之后于 75 ℃ 使 其 接 触 至 修 复 完 全 ,如 Fig.8(a) 所 示 ,CFPU0-1, CFPU1-1,CFPU2-1 和 CFPU3-1 为全切修复后的试 样,原始样条及修复后样条的应力-应变曲线高度一 致,说明一系列试样的全切修复效果优异。同时, 如 Fig.8(b)自修复效率结果所示,一系列 CFPU 试样 全切修复在 75 ℃加热条件下均具有超过 85%的修 复效率,修复效果显著。
2.4 CFPU 的自修复性能
    在 FPU 基体中,因具有可逆含氟氢键、二硫键 及香豆素环,从而赋予了 FPU 优异的自修复性能。添加 PPY/CNTs 后,当 CFPU 发生反复磨损和意外切 割造成机械损伤时,体系中的二硫键在室温或加热 条件下将发生可逆反应,香豆素环在紫外光下将发 生可逆环加成反应,同时碳纳米管可以作为光热转 换剂使复合材料在其他波长光照下也具备自修复性,最终赋予了使 CFPU 具有光热双重条件下的自 修复功能,修复过程如 Fig.9 所示。

 

    为 了 验 证 CFPU 在 不 同 温 度(25 ℃ ,50 ℃ , 75 ℃和 100 ℃)及不同光照条件(600 nm 红外光、 10 μm 可见光和 365 nm 紫外光)下的自修复性能, 制 备 了 一 系 列 不 同 PPY/CNTs 含 量 的 导 电 弹 性 体 CFPU,对 其 进 行 划 痕 修 复 测 试 。以 CFPU0 及 CFPU1 为例,在试样表面上用相同力度进行划痕, Fig.10 为 CFPU0 和 CFPU1 分别于 25 ℃,50 ℃,75 ℃ 和 100 ℃时表面划痕修复情况的光学显微镜图, Fig.11 为一系列试样在不同温度及光照条件下完全 修复所需时间柱状图。Fig.10 中,CFPU0 和 CFPU1 在 25 ℃修复 10 min 即可观察到划痕变浅现象,说明 室 温 下 CFPU 即 可 表 现 出 修 复 行 为 ;在 75 ℃ 和 100 ℃时修复 10 min 试样划痕明显变浅。这归因于 CFPU 结构中二硫键的可逆环加成反应和氢键的协 同修复作用。为了研究 CFPU 在光照条件下的划痕修复过 程,对不同 PPY/CNTs 含量的 CFPU0 和 CFPU1 在修 复前后分别进行了 3D 轮廓仪的测试,对其在可见 光 照 射 条 件 下 的 划 痕 深 度 修 复 程 度 进 行 评 估 。Fig.11(a)和 Fig.11(b)分别为 CFPU0 在 600 nm 波长的 可见光照射 80 min 前后的 3D 轮廓仪图,Fig.11(c)和 Fig.11(d)分别为 CFPU1 在上述条件下修复前后的 3D 轮廓仪图。可知 CFPU 在可见光照射下划痕深 度都呈现变浅的现象,说明 CFPU 在可见光照射下 可实现自修复功能。这归因于 CFPU 结构中 PPY/ CNTs 的光热效应,以及香豆素环在较低波段光照条 件下的可逆环加成反应的协同作用。此外,Fig.12 (b)中 CFPU0-4 在可见光和红外照射下的自修复时 间呈现出逐渐缩短的规律,归因于产物中可发生光 热效应的 PPY/CNTs 含量逐渐升高;在紫外光照射 下的自修复时间呈现出逐渐延长的规律,归因于产 物中可发生光环化反应的香豆素相对含量逐渐减 小所致。

 

多重修复含氟聚氨酯的制备及响应型行为

多重修复含氟聚氨酯的制备及响应型行为

多重修复含氟聚氨酯的制备及响应型行为

 

多重修复含氟聚氨酯的制备及响应型行为

 

2.5 CFPU 的导电性及响应性
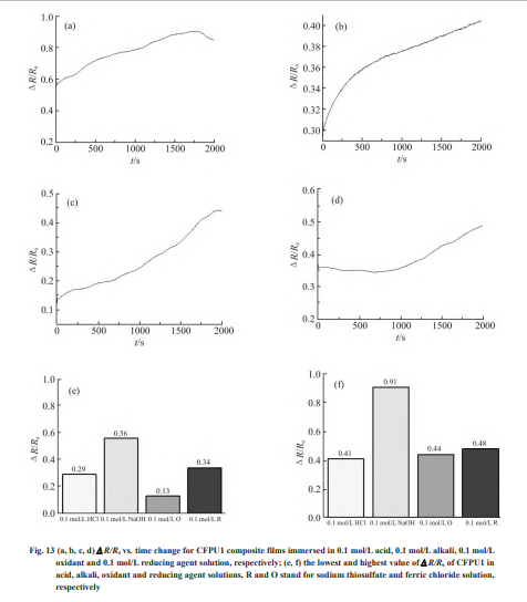
    适量添加量的 PPY/CNTs 改性 FPU 制备的导电 弹性体 CFPU 具有优良的自修复性、疏水性、力学性 能等,考虑到其未来在智能穿戴、电子皮肤等电子 方面的应用,需要 CFPU 在拥有以上优良性能的同 时具备良好导电性。因此使用数字万用表对一系 列 CFPU 进行了导电性测试,通过电阻值的大小判 断材料的导电性。测试结果如 Tab.2 所示,由表可 知,当 PPY/CNTs 添加量为 25%时,CFPU1 可以响应 电信号,电阻值为 7.9 MΩ,由于 25%碳纳米管已足 够形成导电通路,随着 PPY/CNTs 含量的增加,导电 性能提升不大。考虑到 CFPU1 具有优良的导电性、疏水性能、 热稳定性、力学性能及自修复性能等,对其进行了 物理及化学环境的响应性测试。采用电化学工作 站中的计时电流法对 CFPU1 进行电阻测试。将试 样用裁刀剪切成长方形样条(长 16 mm×宽 9 mm), 将 样 条 两 端 用 导 电 胶 带 固 定 在 铜 片 上 ,制 备 “ 电 桥” 。将其分别浸泡在酸(0.1 mol/L HCl)、碱(0.1 mol/L NaOH)、氧 化 剂(0.1 mol/L FeCl3)、还 原 剂 (0.1 mol/L Na2S2O3)溶液中,通过电化学工作站测 得ΔR/R0随时间的变化。由 Fig.13 可知,浸泡时间在 2×103 s 内 ,不 同 化 学 溶 液 的 响 应 值 存 在 明 显 差 异。CFPU1 在 0.1 mo/L HCl 中的ΔR/R0 范围为 0.29~ 0.41,在 0.1 mol/L NaOH 中 的 ΔR/R0 范 围 为 0.56~ 0.91,在 0.1 mol/L FeCl3 中的ΔR/R0 范围为 0.13~0.44,在 0.1 mol/L Na2S2O3中的ΔR/R0范围为 0.34~0.48。可 见在不同的化学环境中,CFPU1 的ΔR/R0范围不同, 说明 CFPU1 对化学环境具备良好的响应性。此外,CFPU 还具有热迁移性。为了验证材料 对温度的响应性,将试样用裁刀制成长方形样条 (长 30 mm×宽 20 mm)置于加热台上,设定温度量 程为 30 ℃到 42 ℃,间隔为 1 ℃,当加热台达到预设 温度后,恒温 2 min 后用数字万用表测量试样两端 的电阻值,计算得到电阻率(ΔR/R0)。由 Fig.14 可 得,随温度的上升,电阻率先增加后趋于稳定。当 温度升高后,原来紧密堆积在聚氨酯基体上的 PPY/ CNTs 粉末变得疏松,接触点减少,从而导致电阻值 逐渐增大。

 

多重修复含氟聚氨酯的制备及响应型行为

多重修复含氟聚氨酯的制备及响应型行为

 

    传感器材料应用于人体传感时,其对应变的响 应性必不可少。为了验证 CFPU 对应变的响应,将 CFPU1 用 裁 刀 制 成 长 方 形 样 条(长 20 mm× 宽 4 mm),当其应变在 20%~300%之间时,用数字万用表 测量试样固定距离之间的电阻,计算得到电阻变化 率。测试结果如 Fig.15 所示,随应变的增加,CFPU1 整体被拉伸,PPY/CNTs 接触点大幅减少,材料电阻 率升高。

 

多重修复含氟聚氨酯的制备及响应型行为

 

3 结 论
  

    (1)本文成功制备了一系列不同含量 PPY/CNTs 改性的 FPU 导电弹性体 CFPU,采用 FT-IR 和 Raman 等表征了其结构。

    (2)将 CNTs 引入 FPU 体系中,材料的疏水性、 导电性等得到提升,同时 CNTs 还充当了光热转化 剂,与氢键、二硫键、可逆香豆素配合实现了 CFPU 在加热及不同波段光源下的自修复功能,在 100 ℃, 10 min 即可完成划痕的完全修复。

    (3)CFPU 不仅具有良好的导电性,同时,由于 导电高分子聚吡咯的添加及材料自身碳纳米管导 电网络的搭建,使得材料具备对不同温度、应变及 酸碱盐等化学条件的响应性,未来可应用于传感器、电子皮肤等多个领域。

 

为方便阅读,本文移除了脚注。如有需要,请参阅《高分子材料科学与工程》2022年7月第38卷 第7期   END

  • 标签:
相关阅读

本站所有信息与内容,版权归原作者所有。网站中部分新闻、文章来源于网络或会员供稿,如读者对作品版权有疑议,请及时与我们联系,电话:025-85303363 QQ:2402955403。文章仅代表作者本人的观点,与本网站立场无关。转载本站的内容,请务必注明"来源:林中祥胶粘剂技术信息网(www.adhesive-lin.com)".

网友评论

©2015 南京爱德福信息科技有限公司   苏ICP备10201337 | 技术支持:建站100

客服

客服
电话

1

手机:18114925746

客服
邮箱

565052751@qq.com

若您需要帮助,您也可以留下联系方式

发送邮箱

扫二
维码

微信二维码